图谱信息 供应商 相关产品
网站主页CAS数据库列表 6959-48-4更多图谱3-氯甲基吡啶盐酸盐(6959-48-4)红外图谱(IR2)

3-氯甲基吡啶盐酸盐

产品名称 3-氯甲基吡啶盐酸盐

CAS号6959-48-4

分子式C6H7Cl2N

分子量164.03

展开


  • Mass

    MS-NW-6857          
    3-(chloromethyl)pyridine hydrochloride
    C6H6ClN HCl         (Mass of molecular ion:    127)
    

       Source Temperature: 140 °C
       Sample Temperature: 130 °C
       Direct, 75 eV
    

          18.0       2.4
          26.0       1.3
          28.0       1.2
          35.0       3.2
          36.0      27.4
          37.0       2.6
          38.0       8.9
          39.0      16.5
          40.0       1.1
          45.5       1.5
          50.0       1.6
          51.0       2.2
          52.0       1.2
          61.0       1.3
          62.0       2.6
          63.0       7.1
          64.0       4.5
          65.0      34.3
          66.0       2.1
          73.0       1.6
          91.0       1.8
          92.0     100.0
          93.0       7.3
          99.0       1.0
         126.0       1.1
         127.0      43.8
         128.0       3.7
         129.0      14.7
         130.0       1.0
    

400 MHz in DMSO-d6


  • 1H NMR 399.65 MHz
    C6 H6 Cl N 0.038 g : 0.5 ml DMSO-d6
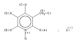
    3-(chloromethyl)pyridine hydrochloride
    ChemicalStructure
        Assign.     Shift(ppm)
    A 9.117 B 8.972 C 8.716 D 8.144 E 5.070

         Hz     ppm     Int.
    

       3645.02   9.121    218
       3643.92   9.118    223
       3588.50   8.980    146
       3583.01   8.966    149
       3487.67   8.727    136
       3486.21   8.724     97
       3481.08   8.711    101
       3479.61   8.707    146
       3261.72   8.162    127
       3258.79   8.155     21
       3255.98   8.148    134
       3253.66   8.142    131
       3248.05   8.128    117
       2026.25   5.071   1000
    

in D2O

in DMSO-d6





KBr disc



nujol mull