图谱信息 供应商 相关产品
网站主页CAS数据库列表 696-04-8更多图谱二氢胸腺嘧啶(696-04-8)核磁图(1HNMR)

二氢胸腺嘧啶

产品名称 二氢胸腺嘧啶

CAS号696-04-8

分子式C5H8N2O2

分子量128.13

展开

400 MHz in DMSO-d6


  • 1H NMR 399.65 MHz
    C5 H8 N2 O2 0.037 g : 0.5 ml DMSO-d6
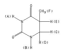
    5-methyl-5,6-dihydro-2,4(1H,3H)-pyrimidinedione
    ChemicalStructure
        Assign.     Shift(ppm)
    A *1 9.9 B *1 7.5 C *2 3.246 D *2 2.951 E 2.538 F 1.055 SIGNAL E OVELAPPED BY SOLVENT PEAKS

         Hz     ppm     Int.
    

       3963.01   9.917    150
       3002.01   7.512    133
       3001.56   7.511    133
       1309.05   3.276     78
       1305.08   3.266     88
       1302.80   3.260     90
       1298.83   3.250    102
       1296.69   3.245    109
       1292.72   3.235    106
       1290.59   3.230    106
       1286.62   3.220     96
       1191.56   2.982    106
       1190.34   2.979    100
       1180.57   2.955    141
       1179.35   2.951    194
       1168.52   2.924    100
       1167.14   2.921     95
       1026.76   2.570     78
       1022.80   2.560     38
       1020.36   2.554    110
       1015.93   2.543     92
       1013.49   2.536     98
       1009.06   2.525    111
       1007.54   2.522     76
       1005.86   2.517    111
       1003.88   2.512    140
       1002.66   2.509    140
        425.11   1.064   1000
        418.09   1.047    949
    

in DMSO-d6



KBr disc



nujol mull