-
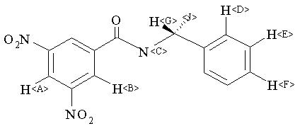
MS-NW-8038 R-(-)-N-(alpha-methylbenzyl)-3,5-dinitrobenzamide C15H13N3O5 (Mass of molecular ion: 315)
Source Temperature: 210 °C Sample Temperature: 160 °C Direct, 75 eV
17.0 1.0 18.0 5.4 27.0 2.3 28.0 5.5 30.0 1.7 39.0 1.6 42.0 17.7 43.0 2.2 50.0 1.7 51.0 4.5 52.0 1.2 63.0 3.5 65.0 1.2 74.0 3.7 75.0 28.7 76.0 3.9 77.0 14.7 78.0 6.9 79.0 11.5 91.0 2.5 102.0 1.2 103.0 19.3 104.0 42.3 105.0 26.2 106.0 3.4 107.0 23.1 108.0 1.8 119.0 1.6 120.0 9.6 121.0 5.2 149.0 34.1 150.0 3.2 165.0 1.7 179.0 5.2 180.0 1.5 194.0 1.6 195.0 100.0 196.0 8.8 197.0 1.5 268.0 1.2 298.0 3.6 300.0 88.0 301.0 14.7 302.0 2.1 314.0 6.0 315.0 64.0 316.0 11.5 317.0 1.6
400 MHz in CDCl3
90 MHz in CDCl3
-
1H NMR 399.65 MHz C15 H13 N3 O5 0.040 g : 0.5 ml CDCl3 R-(-)-N-(alpha-methylbenzyl)-3,5-dinitrobenzamide 
Assign. Shift(ppm)
A 9.064 B 8.961 C 7.46 D 7.308 E 7.266 F 7.192 G 5.240 J 1.609
Hz ppm Int.3624.73 9.070 253 3622.59 9.065 493 3620.61 9.060 289 3582.46 8.964 1000 3580.32 8.959 926 2986.45 7.473 106 2978.97 7.454 111 2927.25 7.325 164 2925.72 7.321 234 2918.55 7.303 493 2910.77 7.284 315 2908.78 7.279 103 2903.44 7.265 603 2902.07 7.262 211 2895.81 7.246 215 2881.32 7.210 108 2879.79 7.206 176 2878.27 7.202 100 2875.06 7.194 81 2872.62 7.188 201 2870.33 7.183 59 2866.97 7.174 51 2865.60 7.171 75 2864.23 7.167 43 2101.44 5.259 110 2094.27 5.241 163 2087.10 5.223 112 2080.08 5.205 31 646.51 1.618 863 639.65 1.601 859
-
1H NMR 89.56 MHz C15 H13 N3 O5 0.038 g : 0.5 ml CDCl3 R-(-)-N-(alpha-methylbenzyl)-3,5-dinitrobenzamide 
Assign. Shift(ppm)
A 9.049 B 8.956 C 7.49 D 7.30 to 7.25 E 5.234 F 1.605 J(C,E)=7.5HZ
Hz ppm Int.812.88 9.077 179 810.69 9.052 324 808.81 9.031 372 807.06 9.012 83 802.88 8.965 1000 800.88 8.943 591 674.81 7.535 112 670.75 7.490 62 667.25 7.451 127 663.00 7.403 55 662.63 7.399 56 662.19 7.394 56 660.75 7.378 64 660.38 7.374 63 658.69 7.355 103 656.88 7.335 201 653.88 7.302 369 651.50 7.275 903 648.06 7.237 392 646.25 7.216 293 645.31 7.206 238 644.56 7.197 233 641.50 7.163 132 639.75 7.144 78 639.31 7.139 84 638.06 7.125 49 476.00 5.315 92 469.06 5.238 133 461.63 5.155 94 151.19 1.689 59 147.25 1.645 676 140.25 1.566 644 136.50 1.525 57
更多供应商







