图谱信息 供应商 相关产品
网站主页CAS数据库列表 6968-11-2更多图谱N,N'-二(苄氧羰基)-L-胱氨酸(6968-11-2)红外图谱(IR1)

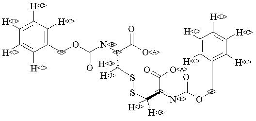
N,N'-二(苄氧羰基)-L-胱氨酸

产品名称 N,N'-二(苄氧羰基)-L-胱氨酸

CAS号6968-11-2

分子式C22H24N2O8S2

分子量508.56

展开


  • Mass

    MS-NW-2149          
    N,N'-bis(benzyloxycarbonyl)-L-cystine
    C22H24N2O8S2        (Mass of molecular ion:    508)
    

       Source Temperature: 230 °C
       Sample Temperature: 250 °C
       Direct, 75 eV
    

          15.0       2.2
          16.0       1.4
          17.0       1.2
          18.0       6.0
          26.0       2.7
          27.0       6.2
          28.0       7.5
          29.0       3.0
          30.0       1.7
          31.0       1.9
          32.0       2.5
          33.0       1.8
          34.0       5.0
          37.0       1.1
          38.0       2.6
          39.0       9.2
          40.0       4.4
          41.0      12.0
          42.0       7.1
          43.0       5.5
          44.0      35.8
          45.0       5.6
          46.0       3.4
          47.0       2.3
          50.0       5.6
          51.0      12.4
          52.0       3.9
          53.0       3.2
          54.0       1.1
          55.0       1.7
          58.0       2.6
          59.0       3.7
          60.0       1.5
          61.0       1.1
          62.0       1.8
          63.0       4.5
          64.0       4.8
          65.0      12.7
          66.0       1.1
          69.0       2.1
          72.0       1.2
          73.0       2.3
          74.0       8.1
          75.0       2.1
          76.0       2.1
          77.0      27.8
          78.0       6.5
          79.0      55.7
          80.0       5.7
          86.0       2.9
          89.0       5.7
          90.0       7.7
          91.0     100.0
          92.0      10.0
         101.0       4.8
         102.0      12.2
         103.0       1.0
         104.0       2.1
         105.0       3.2
         106.0       1.7
         107.0      36.6
         108.0      56.4
         109.0       4.3
         113.0       3.1
         123.0       1.2
         124.0       2.3
         137.0       4.7
         138.0       1.6
         147.0       2.0
         151.0       3.3
         176.0       1.0
         237.0       1.2
    

400 MHz in DMSO-d6


  • 1H NMR 399.65 MHz
    C22 H24 N2 O8 S2 0.041 g : 0.5 ml DMSO-d6
    N,N'-bis(benzyloxycarbonyl)-L-cystine
    ChemicalStructure
        Assign.     Shift(ppm)
    A 13. B 7.76 C 7.36 D 7.33 E 5.05 F 4.297 G *1 3.159 J *1 2.931

         Hz     ppm     Int.
    

       3108.89   7.780    134
       3100.34   7.758    138
       2958.25   7.403     36
       2954.10   7.392     61
       2945.31   7.370    407
       2941.41   7.360   1000
       2936.52   7.348    145
       2931.88   7.337    143
       2929.20   7.330    131
       2927.73   7.326    124
       2923.34   7.315    101
       2918.46   7.303     58
       2031.01   5.082     49
       2026.86   5.072     32
       2025.63   5.069     32
       2018.55   5.051    361
       2016.36   5.046    386
       2003.91   5.015     35
       1729.00   4.327     48
       1724.61   4.316     55
       1718.99   4.302     75
       1716.31   4.295     69
       1714.84   4.291     64
       1710.45   4.280     51
       1706.30   4.270     42
       1272.46   3.184     61
       1268.31   3.174     68
       1258.54   3.150     87
       1254.64   3.140     77
       1182.86   2.960     63
       1172.61   2.935     76
       1169.19   2.926     65
       1159.18   2.901     54
    

KBr disc



nujol mull