-
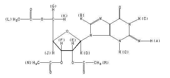
MS-KW-0115 2',3',5'-tri-O-acetylguanosine C16H19N5O8 (Mass of molecular ion: 409)
Source Temperature: 190 °C Sample Temperature: 210 °C Direct, 75 eV
14.0 2.9 15.0 3.1 17.0 1.6 18.0 7.3 26.0 1.9 27.0 6.0 28.0 23.5 29.0 2.7 39.0 2.1 40.0 1.4 41.0 4.1 42.0 11.8 43.0 100.0 44.0 4.8 45.0 5.0 53.0 2.3 54.0 2.5 55.0 2.4 57.0 1.3 60.0 4.3 61.0 1.5 67.0 1.6 68.0 3.0 69.0 7.3 70.0 1.0 71.0 1.6 73.0 1.9 81.0 2.1 82.0 1.0 84.0 1.1 85.0 6.1 86.0 2.6 96.0 2.2 97.0 23.4 98.0 2.4 103.0 1.3 108.0 1.5 109.0 6.5 110.0 6.1 113.0 1.0 114.0 5.0 115.0 5.2 127.0 1.8 128.0 1.4 134.0 2.5 135.0 2.4 139.0 31.0 140.0 2.7 143.0 1.2 151.0 22.3 152.0 7.0 156.0 3.4 157.0 5.5 193.0 4.1 194.0 4.0 259.0 18.5 260.0 2.5 409.0 1.1
400 MHz in DMSO-d6
-
1H NMR 399.65 MHz C16 H19 N5 O8 0.040 g : 0.5 ml DMSO-d6 2',3',5'-tri-O-acetylguanosine 
Assign. Shift(ppm)
A 10.8 B 7.952 C 6.57 D 6.007 E 5.809 F 5.515 G *1 4.390 J 4.333 K *1 4.279 L *2 2.122 M *2 2.057 N *2 2.050
Hz ppm Int.4314.30 10.796 108 3178.31 7.953 336 2625.69 6.570 99 2404.06 6.016 137 2398.02 6.001 159 2327.86 5.825 77 2321.82 5.810 133 2315.77 5.795 71 2208.99 5.528 75 2204.78 5.517 82 2203.13 5.513 77 2198.91 5.503 69 1763.53 4.413 42 1759.86 4.404 56 1752.17 4.385 61 1748.51 4.376 78 1738.62 4.351 43 1734.40 4.340 62 1733.49 4.338 66 1729.27 4.327 80 1725.43 4.318 48 1717.00 4.297 82 1711.32 4.283 49 1705.65 4.268 57 1700.15 4.255 36 848.61 2.124 899 830.66 2.079 31 822.42 2.058 1000 819.67 2.051 936
更多供应商






