-
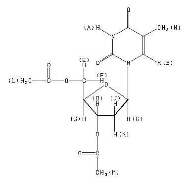
MS-IW-0088 3',5'-di-O-acetylthymidine C14H18N2O7 (Mass of molecular ion: 326)
Source Temperature: 230 °C Sample Temperature: 140 °C Direct, 75 eV
18.0 2.6 27.0 1.1 28.0 1.9 39.0 1.2 41.0 1.6 42.0 1.2 43.0 42.4 44.0 1.4 53.0 1.2 54.0 1.9 55.0 3.2 68.0 1.5 69.0 1.7 71.0 1.0 73.0 1.6 80.0 1.3 81.0 100.0 82.0 6.9 83.0 1.6 97.0 1.0 98.0 3.0 99.0 1.5 110.0 1.8 126.0 4.1 127.0 2.9 140.0 1.9 141.0 2.1 150.0 1.5 153.0 1.2 193.0 1.3 201.0 8.0
400 MHz in CDCl3
-
1H NMR 399.65 MHz C14 H18 N2 O7 0.040 g : 0.5 ml CDCl3 3',5'-di-O-acetylthymidine 
Assign. Shift(ppm)
A 9.71 B 7.29 C 6.348 D 5.230 E *1 4.379 F *1 4.351 G 4.258 J *2 2.478 K *2 2.180 L *3 2.137 M *3 2.125 N 1.945
Hz ppm Int.2916.41 7.298 243 2915.65 7.296 170 2914.43 7.293 153 2544.10 6.366 58 2538.45 6.352 66 2535.55 6.345 68 2529.91 6.331 60 2095.79 5.245 36 2093.66 5.239 61 2091.52 5.234 43 2089.39 5.229 43 2087.10 5.223 63 2084.96 5.217 36 1750.18 4.380 99 1746.06 4.369 118 1743.32 4.363 101 1739.96 4.354 115 1705.47 4.268 43 1702.27 4.260 75 1699.68 4.253 69 1695.56 4.243 32 1002.35 2.509 32 1000.37 2.504 32 996.70 2.494 34 994.72 2.489 34 988.01 2.473 42 986.18 2.468 41 982.36 2.459 40 980.38 2.454 39 886.08 2.218 35 879.36 2.201 43 877.53 2.196 39 871.12 2.180 51 865.17 2.165 39 863.34 2.161 40 854.34 2.138 972 849.46 2.126 1000 778.05 1.947 530 776.98 1.945 495
更多供应商





