图谱信息 供应商 相关产品
网站主页CAS数据库列表 69791-82-8更多图谱3,4-dihydro-5,6,7-trimethoxy-2-naphthoic acid(69791-82-8)红外图谱(IR2)

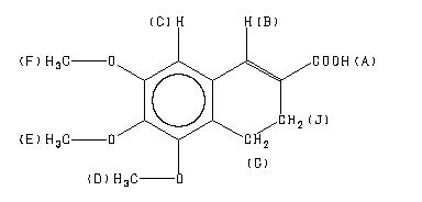
3,4-dihydro-5,6,7-trimethoxy-2-naphthoic acid

产品名称 3,4-dihydro-5,6,7-trimethoxy-2-naphthoic acid

CAS号69791-82-8

分子式C14H16O5

分子量264.27


  • Mass

    MS-IW-0779          
    5,6,7-trimethoxy-3,4-dihydro-2-naphthoic acid
    C14H16O5            (Mass of molecular ion:    264)
    

       Source Temperature: 150 °C
       Sample Temperature: 130 °C
       Direct, 75 eV
    

          18.0       1.5
          77.0       1.5
          89.0       1.6
          90.0       1.1
          91.0       2.1
         102.0       1.0
         103.0       1.1
         115.0       3.1
         117.0       2.9
         118.0       1.9
         127.0       1.9
         128.0       1.0
         131.0       1.6
         132.0       1.2
         133.0       1.3
         143.0       1.5
         144.0       1.0
         145.0       5.0
         146.0       1.7
         159.0       1.9
         160.0       1.8
         161.0       3.8
         162.0       1.0
         173.0       2.6
         174.0       2.2
         175.0       3.3
         176.0       1.1
         181.0       1.4
         188.0       5.3
         189.0       9.2
         190.0       2.1
         203.0       2.6
         204.0       2.5
         205.0       1.1
         217.0       2.2
         219.0       9.6
         220.0       1.5
         221.0       3.6
         232.0       1.1
         233.0       2.4
         247.0       1.3
         249.0      35.9
         250.0       5.3
         254.0       1.0
         262.0       1.3
         263.0       2.1
         264.0     100.0
         265.0      15.3
         266.0       2.6
    

400 MHz in CDCl3


  • 1H NMR 399.65 MHz
    C14 H16 O5 0.035 g : 0.5 ml CDCl3
    5,6,7-trimethoxy-3,4-dihydro-2-naphthoic acid
    ChemicalStructure
        Assign.     Shift(ppm)
    A 11. B 7.587 C 6.631 D *1 3.916 E *1 3.869 F *1 3.861 G 2.853 J 2.577

         Hz     ppm     Int.
    

       3033.42   7.591     70
       3032.14   7.587    126
       3030.67   7.584     70
       2650.24   6.632    181
       1565.34   3.917    992
       1554.35   3.890     32
       1546.47   3.870    714
       1543.18   3.862   1000
       1535.30   3.842     29
       1149.55   2.877     63
       1141.31   2.856    128
       1132.52   2.834     92
       1037.27   2.596     59
       1035.99   2.593     60
       1028.48   2.574    103
       1027.20   2.571     84
       1020.05   2.553     46
    

in CDCl3



KBr disc



nujol mull