图谱信息 供应商 相关产品
网站主页CAS数据库列表 70-18-8更多图谱谷胱甘肽(70-18-8)红外图谱(IR1)

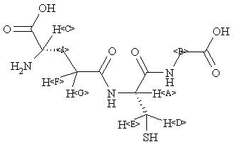
谷胱甘肽

产品名称 谷胱甘肽

CAS号70-18-8

分子式C10H17N3O6S

分子量307.32

400 MHz in D2O


  • 1H NMR 399.65 MHz
    C10 H17 N3 O6 S 0.041 g : 0.5 ml D2O
    gamma-L-glutamyl-L-cysteinylglycine
    ChemicalStructure
        Assign.     Shift(ppm)
    A 4.568 B 3.978 C 3.836 D *1 2.952 E *1 2.935 F *2 2.568 G *2 2.547 J 2.173

         Hz     ppm     Int.
    

       1831.91   4.584    158
       1825.56   4.568    271
       1819.82   4.554    165
       1589.84   3.979   1000
       1583.25   3.962     40
       1539.67   3.853    169
       1533.33   3.837    366
       1526.86   3.821    179
       1195.07   2.991     38
       1189.58   2.977     57
       1187.38   2.972     31
       1180.79   2.955    326
       1178.10   2.948    347
       1175.42   2.942    322
       1171.39   2.932    307
       1165.89   2.918     42
       1164.06   2.913     55
       1157.35   2.896     46
       1040.41   2.604     49
       1032.47   2.584    151
       1027.47   2.571    170
       1024.90   2.565    308
       1019.90   2.552    306
       1017.33   2.546    199
       1012.57   2.534    183
       1006.96   2.520     30
       1004.52   2.514     53
        879.03   2.200    172
        871.58   2.181    395
        864.75   2.164    371
        859.99   2.152     71
        857.30   2.146    144
    

KBr disc



nujol mull