
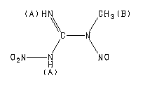
1-甲基-3-硝基-1-亚硝基胍
产品名称
1-甲基-3-硝基-1-亚硝基胍
CAS号70-25-7
分子式C2H5N5O3
分子量147.09
InChIInChI=1S/C2H5N5O3/c1-6(5-8)2(3)4-7(9)10/h1H3,(H2,3,4)
InChIKeyVZUNGTLZRAYYDE-UHFFFAOYSA-N
SmilesN(C)(N=O)C(=N)N[N+]([O-])=O
展开
收起
-
Assign. Shift(ppm)
A 9.8
B 3.159
Spectral Code: 1H NMR : 400 MHz in DMSO-d6
-
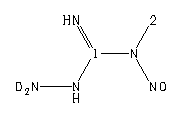
ppm Int. Assign.
158.14 282 1
28.75 1000 2
Spectral Code: 13C NMR : in DMSO-d6
-
Spectral Code: IR : KBr disc
1-甲基-3-硝基-1-亚硝基胍(70-25-7)核磁图(13CNMR) 相关产品图谱