图谱信息 供应商 相关产品
网站主页CAS数据库列表 701-99-5更多图谱苯氧乙酰氯(701-99-5)Raman光谱

苯氧乙酰氯

产品名称 苯氧乙酰氯

CAS号701-99-5

分子式C8H7ClO2

分子量170.59

展开


  • Mass

    MS-NW-2942          
    phenoxyacetyl chloride
    C8H7ClO2            (Mass of molecular ion:    170)
    

       Source Temperature: 280 °C
       Sample Temperature: 180 °C
       Reservoir, 75 eV
    

          14.0       1.4
          27.0       1.9
          28.0       2.4
          29.0       1.1
          36.0       1.4
          37.0       1.2
          38.0       3.2
          39.0      11.6
          42.0       2.4
          49.0       2.5
          50.0       6.0
          51.0      17.9
          52.0       1.4
          53.5       2.9
          62.0       1.1
          63.0       3.0
          64.0       1.6
          65.0      11.2
          66.0       1.8
          74.0       1.4
          75.0       1.2
          76.0       1.8
          77.0      70.3
          78.0       5.7
          79.0      16.6
          80.0       1.1
          93.0       1.1
          94.0       9.7
         105.0       1.2
         107.0     100.0
         108.0       7.6
         119.0       1.3
         170.0      35.7
         171.0       3.0
         172.0      11.7
         173.0       1.0
    

90 MHz in CDCl3


  • 1H NMR 89.56 MHz
    C8 H7 Cl O2 0.05 ml : 0.5 ml CDCl3
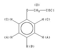
    phenoxyacetyl chloride
    ChemicalStructure
        Assign.     Shift(ppm)
    A 7.276 B 7.02 C 6.88 D 4.882

         Hz     ppm     Int.
    

        662.13   7.394     42
        660.75   7.378     65
        658.88   7.357     33
        655.50   7.320     36
        653.94   7.302    159
        652.19   7.283     90
        647.69   7.232     71
        646.00   7.214    164
        645.25   7.205    125
        642.94   7.179     30
        636.44   7.107     47
        635.13   7.092     94
        633.81   7.077     76
        630.19   7.037     32
        628.44   7.017     96
        628.00   7.013    108
        621.94   6.945     35
        620.69   6.931     79
        619.50   6.918    175
        618.06   6.902    230
        615.75   6.876     45
        612.75   6.842     61
        612.38   6.838     61
        611.88   6.833     56
        610.88   6.821    126
        610.13   6.813    109
        609.63   6.807    116
        437.31   4.883   1000
    

in CDCl3



liquid film