图谱信息 供应商 相关产品
网站主页CAS数据库列表 7048-02-4更多图谱L-组氨酸盐酸盐单水合物(7048-02-4)质谱(MS)

L-组氨酸盐酸盐单水合物

产品名称 L-组氨酸盐酸盐单水合物

CAS号7048-02-4

分子式C6H12ClN3O3

分子量209.63

展开


  • Mass

    MS-IW-6630          
    L-histidine hydrochloride
    C6H9N3O2 HCl H2O    (Mass of molecular ion:    155)
    

       Source Temperature: 180 °C
       Sample Temperature: 200 °C
       Direct, 75 eV
    

          17.0       1.0
          18.0       4.9
          26.0       1.8
          27.0       8.1
          28.0      14.6
          29.0       1.7
          30.0       1.7
          35.0       3.7
          36.0      45.8
          37.0       1.4
          38.0      15.2
          39.0       2.0
          40.0       1.8
          41.0       2.8
          42.0       2.2
          43.0       1.0
          44.0       4.3
          52.0       2.3
          53.0       2.1
          54.0      11.3
          55.0       6.8
          56.0       4.1
          66.0       1.4
          68.0       1.2
          69.0       1.4
          74.0       2.4
          80.0       1.6
          81.0      46.1
          82.0     100.0
          83.0      11.7
          93.0       4.3
          94.0       1.8
         107.0       2.0
         109.0       5.8
         110.0      19.2
         111.0       1.9
         137.0       1.1
         155.0       1.8
         156.0       2.7
    

400 MHz in D2O


  • 1H NMR 399.65 MHz
    C6 H9 N3 O2 0.037 g : 0.5 ml D2O
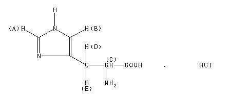
    L-histidine hydrochloride
    ChemicalStructure
        Assign.     Shift(ppm)
    A 8.688 B 7.421 C 4.061 D *1 3.383 E *1 3.360 THE SOLVENT SIGNAL REMOVED.

         Hz     ppm     Int.
    

       3472.29   8.689   1000
       3470.92   8.685    957
       2966.31   7.423    840
       1630.10   4.079    525
       1623.38   4.063    880
       1620.64   4.056     49
       1616.97   4.046    583
       1368.71   3.425     63
       1368.10   3.424     60
       1362.46   3.410     71
       1361.85   3.408     67
       1352.84   3.386    611
       1352.23   3.384    611
       1349.49   3.377    646
       1349.03   3.376    641
       1346.59   3.370    605
       1345.98   3.368    587
       1342.77   3.360    592
       1333.77   3.338     76
       1333.16   3.336     75
       1326.90   3.321     68
       1326.29   3.319     66
    

in D2O



KBr disc



nujol mull



4880 A,200 M,powder