图谱信息 供应商 相关产品
网站主页CAS数据库列表 706-03-6更多图谱3-(苄氨基)丙腈(706-03-6)核磁图(1HNMR)

3-(苄氨基)丙腈

产品名称 3-(苄氨基)丙腈

CAS号706-03-6

分子式C10H12N2

分子量160.22

展开


  • Mass

    MS-IW-1269          
    3-(benzylamino)propionitrile
    C10H12N2            (Mass of molecular ion:    160)
    

       Source Temperature: 230 °C
       Sample Temperature: 160 °C
       Reservoir, 75 eV
    

          26.0       1.1
          28.0       3.0
          30.0       1.4
          39.0       3.5
          40.0       1.2
          41.0       3.0
          42.0       3.8
          50.0       1.5
          51.0       3.8
          52.0       2.5
          53.0       2.1
          54.0       3.2
          60.0       1.3
          63.0       2.2
          65.0       8.8
          77.0       3.6
          78.0       1.9
          79.0       2.6
          81.0       1.0
          83.0       3.5
          89.0       2.5
          90.0       1.2
          91.0     100.0
          92.0       9.4
         103.0       1.6
         104.0       2.0
         106.0       5.8
         107.0       3.2
         118.0       7.1
         119.0       2.5
         120.0      39.3
         121.0       3.7
         159.0       4.3
         160.0       3.8
    

90 MHz in CDCl3


  • 1H NMR 89.56 MHz
    C10 H12 N2 0.05 ml : 0.5 ml CDCl3
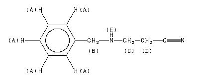
    3-(benzylamino)propionitrile
    ChemicalStructure
        Assign.     Shift(ppm)
    A 7.4 to 7.20 B 3.765 C 2.827 D 2.416 E 1.53

         Hz     ppm     Int.
    

        652.44   7.285   1000
        341.19   3.810     41
        337.25   3.766    536
        261.56   2.921     63
        260.50   2.909     63
        253.94   2.836    196
        248.25   2.772    148
        222.25   2.482    142
        221.63   2.475    129
        215.94   2.412    243
        211.50   2.362     26
        209.50   2.340     72
        208.25   2.326     64
        137.63   1.537     68
    

in CDCl3



liquid film