400 MHz in DMSO-d6
90 MHz in D2O
-
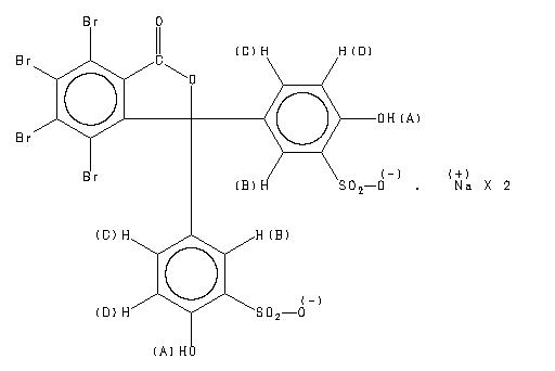
1H NMR 399.65 MHz C20 H8 Br4 Na2 O10 S2 0.040 g : 0.5 ml DMSO-d6 sulfobromophthalein sodium 
Assign. Shift(ppm)
A 10.64 B 7.328 C 7.164 D 6.853
Hz ppm Int.4253.08 10.643 277 2930.15 7.332 999 2927.55 7.326 1000 2869.42 7.180 521 2866.82 7.174 442 2860.72 7.159 597 2858.12 7.152 561 2743.07 6.864 947 2734.53 6.843 861
-
1H NMR 89.56 MHz C20 H8 Br4 Na2 O10 S2 0.045 g : 0.5 ml D2O sulfobromophthalein sodium 
Assign. Shift(ppm)
A 7.73 B 7.23 C 6.87 THE SOLVENT SIGNAL REMOVED.
Hz ppm Int.693.81 7.747 1000 691.50 7.722 966 653.25 7.294 423 652.50 7.286 311 651.56 7.276 301 650.88 7.268 326 644.94 7.202 513 644.63 7.198 528 642.19 7.171 525 620.19 6.925 306 618.50 6.906 902 609.81 6.809 613
更多供应商





