图谱信息 供应商 相关产品
网站主页CAS数据库列表 7143-21-7更多图谱4-[[4-(苯甲酰氨基)-2-甲氧基-5-甲基苯基]偶氮]-3-羟基-N-苯基-2-萘甲酰胺(7143-21-7)核磁图(1HNMR)

4-[[4-(苯甲酰氨基)-2-甲氧基-5-甲基苯基]偶氮]-3-羟基-N-苯基-2-萘甲酰胺

产品名称 4-[[4-(苯甲酰氨基)-2-甲氧基-5-甲基苯基]偶氮]-3-羟基-N-苯基-2-萘甲酰胺

CAS号7143-21-7

分子式C16H12N3NaO9S2

分子量477.39

展开

400 MHz in DMSO-d6


  • 1H NMR 399.65 MHz
    C16 H9 N3 Na2 O9 S2 0.041 g : 0.5 ml DMSO-d6
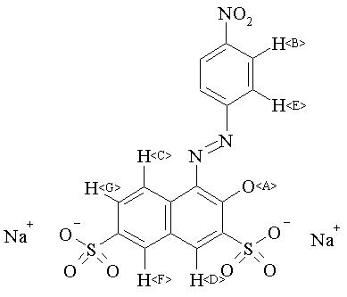
    disodium 3-hydroxy-4-(p-nitrophenylazo)-2,7-naphthalenedisulfonate
    ChemicalStructure
        Assign.     Shift(ppm)
    A 15.99 B 8.372 C 8.37 D 8.274 E 7.976 F 7.945 G 7.827

         Hz     ppm     Int.
    

       6388.67  15.986    267
       6384.03  15.975     72
       6383.54  15.973     64
       6382.08  15.970     44
       6381.59  15.968     40
       6380.61  15.966     32
       3353.52   8.392    135
       3350.83   8.385    845
       3348.14   8.378    474
       3341.80   8.362   1000
       3339.36   8.356    514
       3335.45   8.346     52
       3334.72   8.345     40
       3333.98   8.343     36
       3333.50   8.342     32
       3306.88   8.275    841
       3302.25   8.263     36
       3192.38   7.988    849
       3185.06   7.970    303
       3183.11   7.965    777
       3180.18   7.958    143
       3176.27   7.948    562
       3174.80   7.944    590
       3169.92   7.932     32
       3133.30   7.841    315
       3131.59   7.836    295
       3129.39   7.831     56
       3128.66   7.829     52
       3124.76   7.819    295
       3123.29   7.816    295
       3120.36   7.808     36
    

KBr disc