
6-甲氧基-2-甲基-3(2H)-哒嗪酮
产品名称
6-甲氧基-2-甲基-3(2H)-哒嗪酮
CAS号7154-81-6
分子式C6H8N2O2
分子量140.14
InChIInChI=1S/C6H8N2O2/c1-8-6(9)4-3-5(7-8)10-2/h3-4H,1-2H3
InChIKeyJIPJFJUUKIUJRN-UHFFFAOYSA-N
SmilesC1(=O)N(C)N=C(OC)C=C1
展开
收起
-
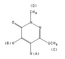
Parameter ppm Hz
D(A) 7.16
D(B) 6.91
J(A,B) 9.0
D(C) 3.78
D(D) 3.53
KATRITZKY,A.R. & WARING,A.J. J.CHEM.SOC. 1964, 1523
Spectral Code: 1H NMR : parameter in DMSO-d6