-
MS-NW-7030 2-phenylbenzimidazole C13H10N2 (Mass of molecular ion: 194)
Source Temperature: 200 °C Sample Temperature: 120 °C Direct, 75 eV
38.0 1.4 39.0 2.8 50.0 1.4 51.0 3.1 52.0 2.3 62.0 1.5 63.0 6.0 64.0 5.8 65.0 2.2 76.0 1.8 77.0 5.0 83.5 1.4 89.0 1.9 90.0 5.9 91.0 4.3 96.5 2.3 97.0 4.7 103.0 1.4 104.0 4.0 140.0 1.0 166.0 3.7 167.0 3.6 168.0 1.6 192.0 3.4 193.0 18.7 194.0 100.0 195.0 15.2 196.0 1.2
400 MHz in DMSO-d6
-
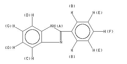
1H NMR 399.65 MHz C13 H10 N2 0.042 g : 0.5 ml DMSO-d6 2-phenylbenzimidazole 
Assign. Shift(ppm)
A 12.98 B 8.246 C 7.72 D 7.58 E 7.579 F 7.515 G 7.24
Hz ppm Int.5187.18 12.980 278 3300.56 8.259 614 3299.07 8.255 811 3296.93 8.250 219 3291.80 8.237 789 3290.95 8.235 617 3288.60 8.229 98 3089.44 7.731 120 3087.73 7.727 118 3083.67 7.716 132 3037.73 7.601 317 3036.45 7.598 478 3034.74 7.594 268 3029.40 7.581 1000 3027.90 7.577 572 3022.99 7.565 372 3021.71 7.561 656 3013.37 7.541 35 3009.74 7.531 231 3008.46 7.528 399 3007.18 7.525 239 3003.33 7.515 159 3001.19 7.510 466 2998.63 7.504 109 2995.00 7.495 95 2993.71 7.491 145 2992.65 7.489 80 2895.85 7.246 316 2892.21 7.237 302
更多供应商






