图谱信息 供应商 相关产品
网站主页CAS数据库列表 71989-16-7更多图谱Fmoc-L-天冬酰胺(71989-16-7)红外图谱(IR2)

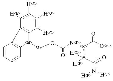
Fmoc-L-天冬酰胺

产品名称 Fmoc-L-天冬酰胺

CAS号71989-16-7

分子式C19H18N2O5

分子量354.36

展开


  • Mass

    MS-IW-3608          
    N(2)-(9-fluorenylmethoxycarbonyl)-L-asparagine
    C19H18N2O5          (Mass of molecular ion:    354)
    

       Source Temperature: 160 °C
       Sample Temperature: 140 °C
       Direct, 75 eV
    

          17.0       1.1
          18.0       1.6
          28.0       1.6
          42.0       1.5
          43.0       2.1
          44.0       3.5
          59.0       1.1
          63.0       1.3
          70.0       1.1
          75.0       1.1
          76.0       3.1
          86.0       1.0
          87.0       1.3
          88.0       2.8
          89.0       4.6
          89.5       1.2
         115.0       1.2
         139.0       1.8
         150.0       1.1
         151.0       2.1
         152.0       3.0
         163.0       3.9
         164.0       3.5
         165.0      33.7
         166.0      20.0
         167.0       2.8
         176.0       5.3
         177.0       4.2
         178.0     100.0
         179.0      18.7
         180.0       1.8
         196.0       7.5
         197.0       1.2
         337.0       3.5
    

400 MHz in DMSO-d6


  • 1H NMR 399.65 MHz
    C19 H18 N2 O5 0.033 g : 0.5 ml DMSO-d6
    N(2)-(9-fluorenylmethoxycarbonyl)-L-asparagine
    ChemicalStructure
        Assign.     Shift(ppm)
    A 12.7 B 7.899 C 7.727 D 7.577 E 7.425 F *1 7.40 G 7.345 J *1 6.97 K 4.378 L 4.29 M 4.24 P *2 2.60 Q *2 2.50 ASSIGNED BY CH-COSY

         Hz     ppm     Int.
    

       3160.81   7.909    566
       3153.34   7.891    614
       3092.22   7.738    386
       3084.96   7.720    455
       3032.60   7.589    220
       3024.27   7.568    228
       2975.98   7.447    259
       2968.71   7.429    576
       2961.02   7.410    421
       2956.11   7.397    246
       2942.22   7.362    300
       2934.74   7.344    437
       2927.47   7.326    198
       2786.01   6.972    205
       1760.76   4.406     63
       1755.41   4.393     91
       1752.85   4.386    142
       1747.51   4.373    142
       1744.94   4.367    104
       1739.39   4.353     73
       1718.87   4.301    240
       1712.68   4.286    551
       1700.28   4.255    225
       1694.09   4.239    214
       1686.39   4.220     92
       1051.11   2.631    103
       1048.33   2.624     32
       1045.98   2.618    114
       1035.73   2.592    215
       1030.38   2.579    194
       1002.39   2.509   1000
        992.78   2.485    129
        984.87   2.465     95
    

in DMSO-d6



KBr disc



nujol mull