图谱信息 供应商 相关产品
网站主页CAS数据库列表 71989-20-3更多图谱Fmoc-L-谷氨酰胺(71989-20-3)红外图谱(IR2)

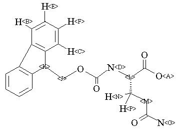
Fmoc-L-谷氨酰胺

产品名称 Fmoc-L-谷氨酰胺

CAS号71989-20-3

分子式C20H20N2O5

分子量368.38

展开


  • Mass

    MS-IW-3613          
    N(2)-(9-fluorenylmethoxycarbonyl)-L-glutamine
    C20H20N2O5          (Mass of molecular ion:    368)
    

       Source Temperature: 170 °C
       Sample Temperature: 160 °C
       Direct, 75 eV
    

          17.0       1.0
          18.0       4.6
          27.0       1.9
          28.0       6.2
          29.0       2.1
          30.0       1.2
          31.0       2.7
          39.0       1.8
          41.0       2.5
          42.0       1.9
          43.0       2.2
          44.0      10.8
          45.0       2.0
          51.0       1.1
          54.0       1.0
          55.0       2.2
          56.0       4.7
          57.0       2.2
          59.0      15.8
          62.0       1.1
          63.0       3.3
          69.5       1.4
          72.0       2.2
          73.0       3.2
          74.0       2.0
          75.0       2.4
          76.0       4.7
          81.5       1.3
          82.0       2.2
          82.5       2.2
          83.0       3.7
          84.0       6.0
          86.0       1.2
          87.0       2.3
          88.0       5.2
          89.0       5.0
          98.0       1.1
          99.0       1.0
         100.0       3.9
         101.0       2.5
         111.0       1.1
         113.0       1.1
         115.0       3.2
         126.0       1.8
         127.0       1.0
         128.0       1.5
         139.0       5.2
         150.0       2.2
         151.0       3.5
         152.0       4.6
         155.0       1.2
         162.0       1.5
         163.0      11.6
         164.0      10.2
         165.0     100.0
         166.0      76.4
         167.0      10.5
         175.0       1.3
         176.0       8.5
         177.0       6.2
         178.0      84.5
         179.0      16.1
         180.0       1.6
         196.0      32.1
         197.0       5.0
    

400 MHz in DMSO-d6


  • 1H NMR 399.65 MHz
    C20 H20 N2 O5 0.040 g : 0.5 ml DMSO-d6
    N(2)-(9-fluorenylmethoxycarbonyl)-L-glutamine
    ChemicalStructure
        Assign.     Shift(ppm)
    A 12.7 B 7.902 C 7.750 D 7.72 E 7.429 F 7.35 G 6.83 J 4.28 K 4.25 L 3.989 M 2.20 N *1 2.022 P *1 1.808

         Hz     ppm     Int.
    

       5059.79  12.661     77
       3162.19   7.913    899
       3154.68   7.894    969
       3101.56   7.761    681
       3094.05   7.742    762
       3088.00   7.727    409
       3079.94   7.707    404
       3062.18   7.663     44
       3061.81   7.662     44
       3061.44   7.661     44
       3060.71   7.659     45
       3060.35   7.658     45
       3059.98   7.657     45
       3059.61   7.656     45
       3056.87   7.649     47
       3056.13   7.648     47
       3054.30   7.643     43
       2977.37   7.450    440
       2970.04   7.432    981
       2962.53   7.413    619
       2955.39   7.395     35
       2945.50   7.371    621
       2944.58   7.368    552
       2937.99   7.352   1000
       2937.07   7.350    923
       2931.76   7.336    471
       2930.66   7.334    562
       2921.69   7.311     57
       2746.03   6.872     38
       2744.93   6.869     39
       2744.20   6.867     39
       2743.83   6.866     39
       2743.47   6.865     39
       2743.10   6.864     39
       2742.74   6.863     39
       2742.19   6.862     38
       2741.82   6.861     38
       2741.45   6.860     39
       2740.90   6.859     39
       2740.54   6.858     40
       2729.91   6.831    297
       1731.84   4.334     44
       1721.95   4.309    287
       1717.92   4.299    346
       1713.89   4.289    609
       1712.24   4.285    609
       1701.80   4.259    476
       1694.84   4.241    278
       1687.88   4.224    136
       1683.67   4.213     59
       1682.93   4.212     57
       1682.57   4.211     57
       1682.20   4.210     57
       1679.09   4.202     42
       1606.00   4.019    106
       1601.24   4.007    133
       1596.85   3.996    189
       1592.82   3.986    176
       1592.27   3.985    176
       1588.60   3.975    136
       1583.84   3.964    109
        901.36   2.256     30
        900.63   2.254     30
        900.08   2.253     30
        888.36   2.223    311
        880.66   2.204    652
        873.15   2.185    386
        824.62   2.064     63
        824.25   2.063     63
        822.42   2.058     49
        819.49   2.051     83
        816.74   2.044    105
        811.24   2.030    155
        805.93   2.017    109
        803.19   2.010    164
        798.24   1.998    122
        790.36   1.978     46
        740.36   1.853     56
        739.99   1.852     56
        732.67   1.834    113
        725.71   1.816    122
        723.87   1.812    141
        719.11   1.800    127
        716.73   1.794    116
        709.77   1.776    106
        704.82   1.764     31
        702.26   1.758     44
    

in DMSO-d6



KBr disc



nujol mull