图谱信息 供应商 相关产品
网站主页CAS数据库列表 71989-23-6更多图谱Fmoc-L-异亮氨酸(71989-23-6)核磁图(1HNMR)

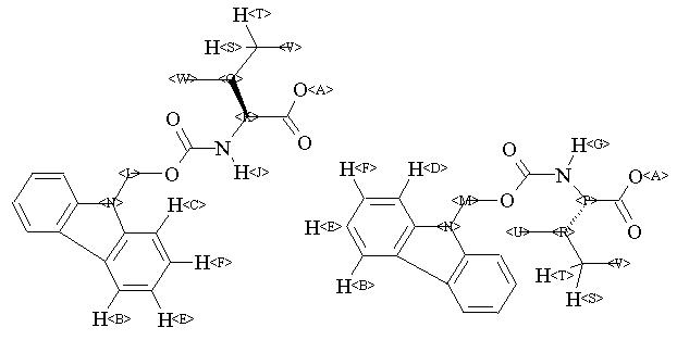
Fmoc-L-异亮氨酸

产品名称 Fmoc-L-异亮氨酸

CAS号71989-23-6

分子式C21H23NO4

分子量353.41

展开


  • Mass

    MS-IW-2647          
    N-((9-fluorenyl)methoxycarbonyl)-L-isoleucine
    C21H23NO4           (Mass of molecular ion:    353)
    

       Source Temperature: 180 °C
       Sample Temperature: 170 °C
       Direct, 75 eV
    

          17.0       2.3
          18.0      12.0
          27.0       3.3
          28.0       6.5
          29.0      15.2
          30.0       1.3
          39.0       4.2
          41.0      15.8
          42.0       1.3
          43.0       1.9
          44.0       2.3
          51.0       1.2
          55.0       2.6
          56.0       2.1
          57.0      21.0
          58.0       1.0
          62.0       1.0
          63.0       2.7
          69.0       1.7
          69.5       1.5
          70.0       1.6
          73.0       4.3
          74.0       2.3
          75.0       2.5
          76.0       2.4
          81.5       1.2
          82.0       1.3
          82.5       2.0
          83.0       4.1
          86.0       2.2
          87.0       1.7
          88.0       2.4
          89.0       2.8
         101.0      50.7
         102.0       2.3
         113.0       1.1
         115.0       3.0
         139.0       5.3
         150.0       1.3
         151.0       2.2
         152.0       3.2
         162.0       1.4
         163.0      11.2
         164.0      10.2
         165.0     100.0
         166.0      74.9
         167.0      10.6
         176.0       4.7
         177.0       3.9
         178.0      65.9
         179.0      13.8
         180.0       1.6
         196.0      30.8
         197.0       4.7
    

400 MHz in CDCl3


  • 1H NMR 399.65 MHz
    C21 H23 N O4 0.044 g : 0.5 ml CDCl3
    N-((9-fluorenyl)methoxycarbonyl)-L-isoleucine
    ChemicalStructure
        Assign.     Shift(ppm)
    A 10.7 B 7.74 C 7.58 D 7.53 E 7.38 F 7.30 G 6.31 J 5.353 K 4.49 L 4.41 M 4.39 N 4.216 P 4.04 Q 1.96 R 1.79 S *1 1.45 T *1 1.20 U 0.967 V 0.930 W 0.87

         Hz     ppm     Int.
    

       3099.36   7.756    589
       3091.85   7.737    759
       3036.72   7.599    336
       3034.15   7.593    368
       3029.57   7.581    420
       3027.01   7.575    411
       3020.60   7.559     82
       3020.23   7.558     82
       3014.19   7.543    130
       3007.41   7.526    121
       2957.77   7.401    269
       2950.26   7.383    639
       2942.94   7.364    472
       2923.70   7.316    429
       2916.38   7.298    701
       2909.05   7.279    375
       2523.67   6.315     49
       2515.98   6.296     50
       2515.61   6.295     50
       2515.06   6.294     50
       2144.15   5.366    243
       2139.75   5.355     74
       2135.17   5.343    256
       1797.41   4.498    103
       1797.05   4.497    102
       1796.50   4.496    100
       1791.92   4.484    120
       1784.41   4.465     39
       1783.31   4.463     37
       1782.94   4.462     36
       1782.39   4.460     35
       1777.08   4.447     36
       1776.35   4.445     37
       1775.80   4.444     38
       1765.91   4.419    650
       1758.95   4.402    860
       1750.71   4.381    203
       1692.28   4.235    176
       1685.13   4.217    322
       1678.17   4.200    192
       1670.30   4.180     41
       1616.63   4.046     48
        779.19   1.950    121
        714.90   1.789     35
        602.43   1.508     58
        597.31   1.495     82
        594.92   1.489     89
        589.43   1.475    122
        589.06   1.474    122
        583.75   1.461    108
        583.39   1.460    107
        581.74   1.456    112
        576.79   1.444     94
        571.48   1.430     49
        569.65   1.426     55
        569.28   1.425     54
        566.90   1.419     41
        565.25   1.415     35
        564.89   1.414     35
        564.34   1.413     35
        562.87   1.409     35
        561.41   1.405     37
        561.04   1.404     36
        560.67   1.403     36
        560.31   1.403     36
        559.76   1.401     35
        496.38   1.243     76
        493.27   1.235     49
        488.69   1.223    124
        487.59   1.221    123
        481.73   1.206    143
        481.36   1.205    143
        481.00   1.204    143
        480.08   1.202    142
        479.71   1.201    142
        479.35   1.200    141
        475.13   1.189    125
        474.03   1.187    126
        473.67   1.186    126
        466.52   1.168     93
        461.76   1.156     35
        459.38   1.150     40
        459.02   1.149     40
        390.33   0.977    907
        383.37   0.960    952
        379.15   0.949    650
        371.83   0.931   1000
        364.50   0.913    496
        358.46   0.897    137
        351.13   0.879    293
        350.76   0.878    293
        347.47   0.870    275
        344.35   0.862    299
        336.84   0.843    112
        336.48   0.842    112
        336.11   0.842    111
        335.74   0.841    110
    

in CDCl3



KBr disc



nujol mull