图谱信息 供应商 相关产品
网站主页CAS数据库列表 71989-28-1更多图谱Fmoc-L-蛋氨酸(71989-28-1)红外图谱(IR2)

Fmoc-L-蛋氨酸

产品名称 Fmoc-L-蛋氨酸

CAS号71989-28-1

分子式C20H21NO4S

分子量371.45

展开


  • Mass

    MS-IW-2649          
    N-((9-fluorenyl)methoxycarbonyl)-L-methionine
    C20H21NO4S          (Mass of molecular ion:    371)
    

       Source Temperature: 190 °C
       Sample Temperature: 160 °C
       Direct, 75 eV
    

          18.0       3.6
          27.0       1.9
          28.0       4.4
          39.0       1.7
          41.0       3.3
          44.0       1.7
          45.0       3.0
          46.0       1.7
          47.0       4.5
          48.0       2.2
          49.0       1.2
          54.0       2.1
          55.0       1.8
          56.0       5.5
          57.0       1.0
          59.0       1.2
          61.0      10.7
          62.0       5.1
          63.0       2.9
          69.5       1.3
          73.0       1.0
          74.0       2.9
          75.0      12.8
          76.0       2.5
          77.0       1.0
          81.5       1.1
          82.0       2.0
          82.5       1.9
          83.0       1.6
          84.0       2.3
          85.0       1.1
          86.0       2.1
          87.0       3.0
          88.0       3.1
          89.0       2.4
          99.0       1.1
         100.0       2.5
         101.0       3.3
         102.0       1.3
         114.0       2.9
         115.0       3.3
         127.0       1.9
         129.0      12.3
         139.0       5.0
         150.0       1.1
         151.0       1.8
         152.0       2.6
         157.0       2.0
         162.0       1.4
         163.0      11.2
         164.0      10.2
         165.0     100.0
         166.0      77.4
         167.0      10.8
         175.0      13.2
         176.0       4.8
         177.0       3.6
         178.0      37.0
         179.0       7.8
         180.0       1.0
         196.0      32.6
         197.0       5.1
    

400 MHz in CDCl3


  • 1H NMR 399.65 MHz
    C20 H21 N O4 S 0.044 g : 0.5 ml CDCl3
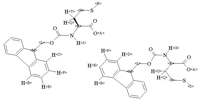
    N-((9-fluorenyl)methoxycarbonyl)-L-methionine
    ChemicalStructure
        Assign.     Shift(ppm)
    A 9.37 B 7.740 C 7.58 D 7.54 E 7.378 F 7.296 G 6.59 J 5.538 K 4.51 L 4.416 M 4.207 N 2.54 P 2.42 Q *1 2.19 R 2.075 S 2.027 T *1 1.99 U *1 1.87

         Hz     ppm     Int.
    

       3737.49   9.352     34
       3097.23   7.750    638
       3090.06   7.732    697
       3033.29   7.590    194
       3029.63   7.581    239
       3029.33   7.580    239
       3026.12   7.572    269
       3022.46   7.563    266
       3014.37   7.543    105
       2956.85   7.399    281
       2949.37   7.380    621
       2941.89   7.362    384
       2923.13   7.315    336
       2922.06   7.312    511
       2915.65   7.296    510
       2914.58   7.293    747
       2908.33   7.278    225
       2907.10   7.275    305
       2901.92   7.262     32
       2901.00   7.259     31
       2900.70   7.259     31
       2639.77   6.606     34
       2639.31   6.605     35
       2638.55   6.603     36
       2637.79   6.601     35
       2637.33   6.600     34
       2635.96   6.596     31
       2635.19   6.594     30
       2634.89   6.593     30
       2634.12   6.592     31
       2633.06   6.589     34
       2632.14   6.587     36
       2631.68   6.585     37
       2630.92   6.584     35
       2217.41   5.549    143
       2209.17   5.528    147
       1820.37   4.555     53
       1815.49   4.543     78
       1812.44   4.536    110
       1807.56   4.523    121
       1804.20   4.515    113
       1803.13   4.512    112
       1799.93   4.504    127
       1797.18   4.497    104
       1796.26   4.495    105
       1795.81   4.494    105
       1786.35   4.470     35
       1785.28   4.468     35
       1784.82   4.466     35
       1784.36   4.465     35
       1783.91   4.464     35
       1782.99   4.462     34
       1781.77   4.459     33
       1781.16   4.457     33
       1780.70   4.456     34
       1779.94   4.454     35
       1778.87   4.452     36
       1768.65   4.426    310
       1761.78   4.409    356
       1687.01   4.222    227
       1680.45   4.205    324
       1673.58   4.188    129
       1022.80   2.560    137
       1020.36   2.554    112
       1015.47   2.541    261
       1008.30   2.523    165
       1000.52   2.504     32
        966.95   2.420     67
        889.74   2.227     39
        888.52   2.224     45
        887.76   2.222     47
        887.15   2.220     46
        886.08   2.218     41
        885.31   2.216     40
        881.50   2.206     67
        873.87   2.187     75
        868.53   2.174     62
        860.75   2.154     30
        829.32   2.076   1000
        820.77   2.054    116
        819.70   2.052    115
        810.24   2.028    262
        798.65   1.999    124
        795.29   1.990     79
        791.63   1.981    107
        787.81   1.972     61
        784.61   1.964     72
        779.88   1.952     32
        779.42   1.951     31
        777.74   1.947     33
        777.28   1.945     32
        776.82   1.944     31
    

in CDCl3



KBr disc



nujol mull