-
MS-IW-9744 4-methoxybenzhydryl alcohol C14H14O2 (Mass of molecular ion: 214)
Source Temperature: 170 °C Sample Temperature: 110 °C Direct, 75 eV
17.0 1.2 18.0 6.1 27.0 1.4 28.0 1.3 39.0 4.2 50.0 3.2 51.0 9.9 52.0 1.7 53.0 1.7 55.0 1.7 62.0 1.1 63.0 5.1 64.0 4.9 65.0 4.9 66.0 2.2 74.0 1.3 75.0 1.8 76.0 5.2 77.0 44.1 78.0 7.9 79.0 6.6 82.0 1.4 82.5 1.6 83.0 1.0 89.0 1.9 91.0 5.7 92.0 9.3 93.0 4.3 94.0 9.5 98.0 1.6 99.0 2.6 102.0 1.2 105.0 57.1 106.0 5.8 107.0 9.6 108.0 34.5 109.0 98.7 110.0 7.7 115.0 4.0 120.0 1.1 121.0 12.2 122.0 1.2 127.0 1.9 128.0 2.8 135.0 100.0 136.0 18.7 137.0 44.2 138.0 4.0 139.0 2.2 141.0 2.5 151.0 1.9 152.0 8.7 153.0 10.3 154.0 4.4 155.0 2.9 165.0 12.0 166.0 5.5 167.0 13.7 168.0 2.7 169.0 1.7 170.0 1.4 181.0 5.6 182.0 5.0 183.0 13.0 184.0 2.2 185.0 1.1 195.0 1.8 196.0 2.1 197.0 35.6 198.0 53.3 199.0 8.2 211.0 1.8 212.0 23.2 213.0 19.9 214.0 70.7 215.0 10.7 216.0 1.1
400 MHz in CDCl3
-
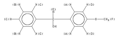
1H NMR 399.65 MHz C14 H14 O2 0.040 g : 0.5 ml CDCl3 4-methoxybenzhydryl alcohol 
Assign. Shift(ppm)
A 7.34 B 7.31 C 7.24 D 6.833 E 5.737 F 3.748
Hz ppm Int.2938.60 7.353 50 2936.52 7.348 71 2934.69 7.344 39 2934.33 7.343 38 2930.05 7.332 207 2928.47 7.328 186 2927.61 7.326 178 2926.76 7.324 197 2924.56 7.318 44 2920.65 7.309 137 2919.80 7.306 193 2917.97 7.302 72 2913.82 7.291 44 2911.87 7.287 71 2901.98 7.262 35 2899.66 7.256 215 2899.29 7.255 213 2897.71 7.251 119 2896.24 7.247 51 2890.87 7.234 265 2888.06 7.227 42 2884.52 7.218 51 2738.04 6.852 35 2735.23 6.845 251 2733.03 6.839 79 2728.52 6.828 79 2726.32 6.822 223 2294.56 5.742 87 2291.14 5.733 85 1498.05 3.749 1000
更多供应商





