-
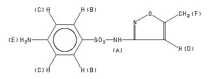
MS-NW-9489 N-(5-methyl-3-isoxazolyl)sulfanilamide C10H11N3O3S (Mass of molecular ion: 253)
Source Temperature: 220 °C Sample Temperature: 140 °C Direct, 75 eV
18.0 2.9 27.0 1.0 28.0 3.7 38.0 1.4 39.0 10.3 40.0 1.5 41.0 4.2 42.0 1.9 43.0 8.2 51.0 1.0 52.0 3.2 53.0 2.0 54.0 1.5 55.0 1.5 63.0 3.6 64.0 4.6 65.0 44.0 66.0 6.3 67.0 1.6 68.0 1.1 69.0 1.5 79.0 1.8 80.0 3.4 90.0 1.1 91.0 4.1 92.0 100.0 93.0 12.1 97.0 1.6 98.0 1.0 105.0 1.1 106.0 4.9 107.0 2.1 108.0 67.9 109.0 5.4 118.0 2.3 119.0 27.7 120.0 2.5 125.0 1.0 140.0 14.8 141.0 1.4 146.0 2.3 147.0 2.2 156.0 83.0 157.0 10.9 158.0 4.6 162.0 27.4 163.0 3.0 172.0 2.8 174.0 17.6 175.0 1.9 188.0 4.0 189.0 15.3 190.0 1.9 253.0 19.9 254.0 4.6 255.0 2.7
400 MHz in DMSO-d6
-
1H NMR 399.65 MHz C10 H11 N3 O3 S 0.038 g : 0.5 ml DMSO-d6 N-(5-methyl-3-isoxazolyl)sulfanilamide 
Assign. Shift(ppm)
A 10.95 B 7.485 C 6.598 D 6.107 E 6.1 F 2.290 J(D,F)=0.9HZ
Hz ppm Int.4377.29 10.953 109 2998.66 7.504 47 2995.91 7.497 379 2993.93 7.492 97 2989.04 7.480 112 2987.06 7.475 398 2984.31 7.468 44 2644.20 6.617 54 2641.45 6.610 423 2639.47 6.605 108 2634.58 6.593 115 2632.60 6.588 393 2629.85 6.581 45 2441.41 6.109 402 2440.49 6.107 387 2434.69 6.093 219 915.53 2.291 1000 914.76 2.289 859
更多供应商





