图谱信息 供应商 相关产品
网站主页CAS数据库列表 7260-11-9更多图谱3-羟基-2-萘甲酸苯酯(7260-11-9)Raman光谱

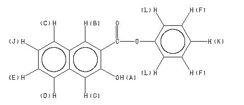
3-羟基-2-萘甲酸苯酯

产品名称 3-羟基-2-萘甲酸苯酯

CAS号7260-11-9

分子式C17H12O3

分子量264.28


  • Mass

    MS-NW-8049          
    phenyl 3-hydroxy-2-naphthoate
    C17H12O3            (Mass of molecular ion:    264)
    

       Source Temperature: 180 °C
       Sample Temperature: 120 °C
       Direct, 75 eV
    

          39.0       3.2
          51.0       1.5
          62.0       1.0
          63.0       3.1
          65.0       3.0
          88.0       1.9
          89.0       3.7
         113.0       2.4
         114.0       6.0
         115.0      35.1
         116.0       3.5
         142.0       4.8
         143.0       3.6
         170.0       6.4
         171.0     100.0
         172.0      12.1
         173.0       1.0
         264.0      20.5
         265.0       3.9
    

400 MHz in CDCl3


  • 1H NMR 399.65 MHz
    C17 H12 O3 0.040 g : 0.5 ml CDCl3
    phenyl 3-hydroxy-2-naphthoate
    ChemicalStructure
        Assign.     Shift(ppm)
    A 10.1 B 8.717 C 7.836 D 7.692 E 7.517 F 7.466 G 7.350 J 7.34 K 7.32 L 7.258

         Hz     ppm     Int.
    

       4056.40  10.150   1000
       3484.19   8.719    677
       3136.44   7.848    229
       3135.68   7.847    246
       3128.05   7.827    256
       3127.29   7.826    267
       3078.61   7.704    233
       3070.98   7.685    286
       3070.22   7.683    292
       3012.39   7.538    171
       3011.02   7.535    181
       3005.52   7.521    218
       3004.15   7.517    295
       3002.78   7.514    155
       2997.13   7.500    181
       2995.91   7.497    178
       2994.84   7.494     77
       2992.55   7.488    291
       2990.57   7.483    141
       2987.52   7.476     73
       2986.30   7.473    164
       2985.08   7.470    532
       2984.47   7.468    512
       2982.03   7.462    108
       2978.67   7.454    185
       2976.84   7.449    469
       2974.40   7.443     83
       2941.13   7.360    211
       2939.91   7.357    235
       2937.62   7.351    692
       2935.18   7.345    195
       2933.96   7.342    419
       2932.89   7.339    468
       2931.67   7.336    233
       2928.16   7.327    134
       2926.48   7.323    427
       2924.80   7.319    287
       2920.23   7.307    102
       2919.01   7.304    176
       2917.94   7.302    109
       2906.65   7.273    115
       2905.27   7.270    549
       2904.21   7.267    660
       2901.92   7.262    177
       2898.56   7.253    177
       2897.80   7.251    282
       2896.73   7.249    514
       2895.51   7.246    472
       2893.07   7.240     64
    

in CDCl3



KBr disc



nujol mull