图谱信息 供应商 相关产品
网站主页CAS数据库列表 728-87-0更多图谱二甲氧基苯甲醇(728-87-0)核磁图(1HNMR)

二甲氧基苯甲醇

产品名称 二甲氧基苯甲醇

CAS号728-87-0

分子式C15H16O3

分子量244.29

展开


  • Mass

    MS-NW-6941          
    4,4'-dimethoxybenzhydrol
    C15H16O3            (Mass of molecular ion:    244)
    

       Source Temperature: 180 °C
       Sample Temperature: 120 °C
       Direct, 75 eV
    

          15.0       1.4
          18.0       4.0
          39.0       3.0
          50.0       1.7
          51.0       3.0
          53.0       1.0
          63.0       3.6
          64.0       4.1
          65.0       4.1
          66.0       2.4
          75.0       1.2
          76.0       2.2
          77.0      16.3
          78.0       4.4
          79.0       2.0
          91.0       1.5
          92.0       6.9
          93.0       1.5
          94.0       5.9
         105.0       3.2
         107.0       5.6
         108.0      28.3
         109.0      32.0
         110.0       2.7
         113.0       1.4
         113.5       1.5
         115.0       2.6
         121.0       2.4
         122.0       2.1
         128.0       1.2
         135.0     100.0
         136.0      11.0
         137.0      13.0
         138.0       1.3
         139.0       1.7
         141.0       2.7
         152.0       1.9
         153.0       1.6
         168.0       1.1
         169.0       2.4
         183.0       1.0
         184.0       1.3
         195.0       1.0
         197.0       4.5
         211.0       2.9
         212.0       2.8
         213.0       5.2
         214.0       1.0
         227.0      18.2
         228.0       9.5
         229.0       1.7
         242.0       6.2
         243.0       9.3
         244.0      39.4
         245.0       6.7
    

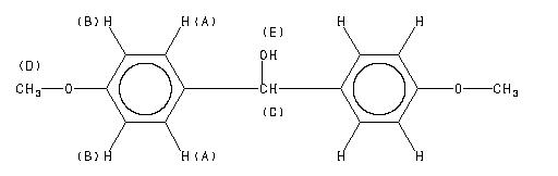
400 MHz in CDCl3


  • 1H NMR 399.65 MHz
    C15 H16 O3 0.035 g : 0.5 ml CDCl3
    4,4'-dimethoxybenzhydrol
    ChemicalStructure
        Assign.     Shift(ppm)
    A 7.249 B 6.843 C 5.722 D 3.766 E 2.34 J(C,E)=3.2HZ

         Hz     ppm     Int.
    

       2904.79   7.269     26
       2901.98   7.262    207
       2899.90   7.257     65
       2895.26   7.245     77
       2892.94   7.239    264
       2890.38   7.233     28
       2742.19   6.862     35
       2739.26   6.855    278
       2737.18   6.849     85
       2732.67   6.838     85
       2730.47   6.833    252
       2727.54   6.825     29
       2288.57   5.727     47
       2285.40   5.719     46
       1505.00   3.766   1000
        938.72   2.349     68
        935.30   2.341     61
    

in CDCl3



KBr disc



nujol mull