-
MS-NW-6353 N(1)-(4,5-dimethyl-2-oxazolyl)sulfanilamide C11H13N3O3S (Mass of molecular ion: 267)
Source Temperature: 150 °C Sample Temperature: 130 °C Direct, 75 eV
15.0 6.5 18.0 2.9 27.0 3.1 28.0 5.6 38.0 3.1 39.0 16.2 40.0 3.6 41.0 11.2 42.0 19.6 43.0 42.8 44.0 1.5 48.0 1.2 50.0 1.6 51.0 2.1 52.0 5.4 53.0 4.1 54.0 3.1 55.0 1.3 56.0 1.3 62.0 1.7 63.0 5.9 64.0 5.6 65.0 46.6 66.0 9.1 67.0 5.4 68.0 3.2 69.0 7.9 80.0 6.3 81.0 1.6 83.0 8.3 90.0 1.6 91.0 4.9 92.0 64.1 93.0 33.3 94.0 2.5 101.5 3.5 108.0 78.0 109.0 9.1 110.0 1.9 111.0 16.8 112.0 5.6 118.0 1.2 123.0 1.2 124.0 3.6 125.0 4.0 140.0 72.7 141.0 8.0 142.0 3.9 156.0 88.4 157.0 87.6 158.0 11.0 159.0 6.1 172.0 1.2 202.0 3.4 203.0 19.5 204.0 2.9 267.0 100.0 268.0 15.2 269.0 5.2
400 MHz in DMSO-d6
-
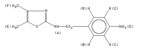
1H NMR 399.65 MHz C11 H13 N3 O3 S 0.040 g : 0.5 ml DMSO-d6 N(1)-(4,5-dimethyl-2-oxazolyl)sulfanilamide 
Assign. Shift(ppm)
A 11.5 B 7.499 C 6.571 C 5.79 E 2.031 F 1.933
Hz ppm Int.3004.66 7.519 67 3001.92 7.512 538 3000.08 7.507 199 2995.14 7.495 170 2993.12 7.490 619 2990.56 7.483 87 2633.38 6.590 71 2630.64 6.583 558 2628.62 6.578 207 2623.86 6.566 168 2621.85 6.561 578 2619.28 6.554 82 2315.41 5.794 130 812.71 2.034 913 811.61 2.031 1000 804.28 2.013 28 802.64 2.009 23 772.96 1.935 957 771.86 1.932 977
更多供应商




