图谱信息 供应商 相关产品
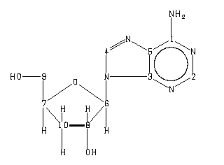
网站主页CAS数据库列表 73-03-0更多图谱虫草素(73-03-0)核磁图(1HNMR)

虫草素

产品名称 虫草素

CAS号73-03-0

分子式C10H13N5O3

分子量251.24

展开





  •        ppm   Int.  Assign.
    155.91 370 1 153.00 870 2 148.66 245 3 140.27 848 4 119.28 195 5 91.46 993 6 81.78 993 7 75.53 1000 8 63.34 890 9 33.62 921 10
    Spectral Code: 13C NMR : in D2O