-
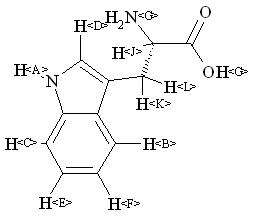
MS2003-02093WA L-tryptophan C11H12N2O2 (Mass of molecular ion: 204)
Source Temperature: 250 °C Sample Temperature: 80 °C Direct, 70 eV
28.0 1.4 51.0 1.0 77.0 5.4 79.0 1.1 79.5 1.2 102.0 2.6 103.0 5.2 115.0 1.2 117.0 2.2 128.0 1.7 129.0 3.1 130.0 100.0 131.0 10.5 132.0 1.8 158.0 2.0 159.0 2.1 204.0 5.6
90 MHz in DMSO-d6
400 MHz in DMSO-d6
-
1H NMR 89.56 MHz C11 H12 N2 O2 0.049 g : 0.5 ml DMSO-d6 L-tryptophan 
Assign. Shift(ppm)
A *1 10.96 B 7.57 C 7.36 D 7.26 E 7.01 F 6.97 G *1 6.71 J 3.55 K *2 3.28 L *2 3.06 400MHZ : HSP-42-518
Hz ppm Int.981.64 10.961 356 683.00 7.627 350 682.31 7.619 328 681.97 7.615 329 680.09 7.594 294 676.59 7.555 472 674.45 7.531 447 663.94 7.414 328 663.34 7.407 340 661.55 7.387 442 657.62 7.343 428 655.57 7.320 634 654.80 7.312 686 654.11 7.304 625 650.78 7.267 864 637.79 7.122 313 632.58 7.064 665 630.79 7.044 593 629.08 7.025 703 626.17 6.992 1000 623.18 6.959 579 621.73 6.943 619 620.02 6.923 586 618.65 6.908 278 614.81 6.865 362 613.18 6.847 345 601.31 6.715 570 318.64 3.558 330 314.28 3.510 365 294.97 3.294 389 290.78 3.247 315 282.32 3.153 385
-
1H NMR 399.65 MHz C11 H12 N2 O2 saturated in DMSO-d6 L-tryptophan 
Assign. Shift(ppm)
A *1 11.11 B *1 8. C 7.580 D 7.361 E 7.263 F 7.054 G 6.965 J *1 3.6 K 3.533 L *2 3.326 M *2 3.036 J(L,M)=-15.1HZ J(M,K)=4.2HZ J(L,K)=8.6HZ 90MHZ : HSP-05-898
Hz ppm Int.4440.76 11.112 687 3033.60 7.591 735 3025.82 7.572 791 2946.17 7.372 874 2938.08 7.352 1000 2903.90 7.267 979 2901.76 7.261 967 2827.61 7.076 376 2826.69 7.073 380 2819.67 7.056 750 2812.50 7.038 498 2811.58 7.036 470 2790.53 6.983 530 2789.92 6.981 524 2782.75 6.963 803 2775.73 6.946 378 2774.96 6.944 352 1418.61 3.550 357 1414.49 3.540 423 1410.22 3.529 440 1405.79 3.518 427 1339.72 3.353 301 1335.75 3.343 303 1324.77 3.315 390 1320.50 3.305 333 1224.52 3.064 341 1215.97 3.043 344 1209.41 3.027 306 1200.87 3.005 265
更多供应商







