
2,4,6-三叔丁基苯酚
产品名称
2,4,6-三叔丁基苯酚
CAS号732-26-3
分子式C18H30O
分子量262.43
InChIInChI=1S/C18H30O/c1-16(2,3)12-10-13(17(4,5)6)15(19)14(11-12)18(7,8)9/h10-11,19H,1-9H3
InChIKeyPFEFOYRSMXVNEL-UHFFFAOYSA-N
SmilesC1(O)=C(C(C)(C)C)C=C(C(C)(C)C)C=C1C(C)(C)C
展开
收起
-
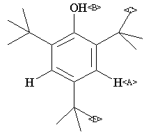
Parameter ppm Hz
D(A) 7.205
D(B) 5.02
D(C) 1.451
D(D) 1.303
Spectral Code: 1H NMR : parameter in CDCl3
-
ppm Int. Assign.
151.34 195 1
141.39 240 2
134.94 400 3
121.82 480 4
34.54 565 5
6
31.72 500 7
30.43 1000 8
Spectral Code: 13C NMR : in CDCl3
-
Spectral Code: IR : KBr disc
-
Spectral Code: ESR : UV FLASH-PHOTOLYSIS IN HEXANE
2,4,6-三叔丁基苯酚(732-26-3)Raman光谱 相关产品图谱