图谱信息 供应商 相关产品
网站主页CAS数据库列表 73476-31-0更多图谱1,5-二甲基-1H-吡咯-2-羧酸甲酯(73476-31-0)核磁图(1HNMR)

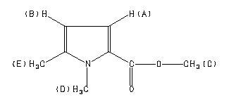
1,5-二甲基-1H-吡咯-2-羧酸甲酯

产品名称 1,5-二甲基-1H-吡咯-2-羧酸甲酯

CAS号73476-31-0

分子式C8H11NO2

分子量153.18


  • Mass

    MS-IW-0094          
    methyl 1,5-dimethyl-2-pyrrolecarboxylate
    C8H11NO2            (Mass of molecular ion:    153)
    

       Source Temperature: 260 °C
       Sample Temperature: 150 °C
       Reservoir, 75 eV
    

          15.0       3.4
          18.0       1.3
          27.0       5.7
          28.0       2.5
          38.0       1.1
          39.0       4.0
          41.0       2.6
          42.0       6.3
          45.0       1.5
          50.0       1.7
          51.0       4.5
          52.0       6.7
          53.0      27.9
          54.0       2.3
          55.0       1.4
          56.0       1.4
          63.0       1.0
          65.0       3.7
          66.0       2.8
          67.0       9.8
          77.0       1.5
          78.0       2.6
          79.0       1.0
          92.0       6.1
          93.0       5.2
          94.0      22.4
          95.0       9.4
         108.0       6.3
         109.0       1.2
         110.0       1.1
         120.0       2.2
         122.0     100.0
         123.0       8.5
         124.0       1.3
         138.0       2.3
         152.0      10.9
         153.0      68.2
         154.0       6.4
    

400 MHz in CDCl3


  • 1H NMR 399.65 MHz
    C8 H11 N O2 0.05 ml : 0.5 ml CDCl3
    methyl 1,5-dimethyl-2-pyrrolecarboxylate
    ChemicalStructure
        Assign.     Shift(ppm)
    A 6.863 B 5.877 C *1 3.791 D *1 3.763 E 2.206

         Hz     ppm     Int.
    

       2745.00   6.869    207
       2741.09   6.859    211
       2351.32   5.884    167
       2350.59   5.882    170
       2347.41   5.874    164
       2346.68   5.872    168
       1515.50   3.793    940
       1503.91   3.764   1000
        881.96   2.207    660
    

KBr disc



liquid film



nujol mull