-
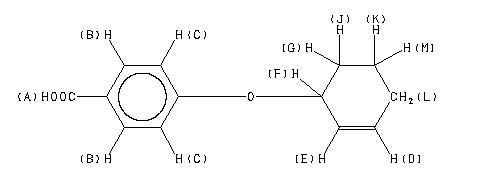
MS-NW-7764 p-(2-cyclohexenyloxy)benzoic acid C13H14O3 (Mass of molecular ion: 218)
Source Temperature: 180 °C Sample Temperature: 120 °C Direct, 75 eV
27.0 10.3 28.0 1.0 29.0 2.2 38.0 3.6 39.0 15.7 40.0 1.7 41.0 13.2 45.0 1.4 50.0 3.7 51.0 6.2 52.0 3.5 53.0 18.5 54.0 1.8 55.0 3.3 62.0 1.9 63.0 6.8 64.0 3.6 65.0 11.4 66.0 3.3 75.0 1.2 76.0 1.4 77.0 9.9 78.0 2.3 79.0 33.6 80.0 77.0 81.0 100.0 82.0 6.5 91.0 1.0 92.0 2.1 93.0 2.4 95.0 1.7 109.0 2.1 121.0 8.8 137.0 1.0 138.0 3.7 139.0 16.8 140.0 1.4 218.0 4.9
400 MHz at 60C
-
1H NMR 399.65 MHz C13 H14 O3 0.039 g : 0.5 ml CDCl3 at 60C p-(2-cyclohexenyloxy)benzoic acid 
Assign. Shift(ppm)
A 11. B 8.041 C 6.942 D 5.981 E 5.853 F 4.874 G *1 2.128 J *1 2.03 K *2 1.97 L 1.89 M *2 1.658
Hz ppm Int.3221.35 8.061 131 3218.42 8.054 902 3216.40 8.049 300 3214.21 8.043 69 3211.64 8.037 297 3209.44 8.031 1000 3206.70 8.024 114 2781.75 6.961 126 2778.82 6.954 843 2776.99 6.949 275 2772.04 6.937 256 2770.03 6.932 818 2767.10 6.924 92 2400.40 6.007 75 2399.30 6.004 82 2396.73 5.998 134 2395.63 5.995 140 2393.07 5.988 83 2391.97 5.986 86 2390.32 5.982 110 2389.22 5.979 113 2386.66 5.972 185 2385.56 5.970 195 2383.00 5.963 106 2381.90 5.960 102 2347.10 5.873 93 2344.90 5.868 177 2341.78 5.860 178 2339.59 5.855 89 2337.02 5.848 65 2334.82 5.843 120 2331.71 5.835 120 2329.51 5.829 60 1955.12 4.893 64 1953.84 4.889 85 1952.01 4.885 110 1950.36 4.881 137 1949.07 4.877 148 1948.16 4.875 144 1946.88 4.872 146 1945.04 4.867 133 1943.40 4.863 104 1941.38 4.858 74 1940.10 4.855 55
更多供应商





