图谱信息 供应商 相关产品
网站主页CAS数据库列表 7364-25-2更多图谱3-吲唑啉酮(7364-25-2)红外图谱(IR1)

3-吲唑啉酮

产品名称 3-吲唑啉酮

CAS号7364-25-2

分子式C7H6N2O

分子量134.14

展开


  • Mass

    MS-NW-6707          
    3-indazolinone
    C7H6N2O             (Mass of molecular ion:    134)
    

       Source Temperature: 230 °C
       Sample Temperature: 140 °C
       Direct, 75 eV
    

          18.0       1.7
          25.0       1.0
          26.0       3.5
          27.0       5.8
          28.0       5.9
          29.0       7.4
          30.0       1.1
          36.0       1.5
          37.0      13.1
          38.0      16.7
          39.0      16.1
          40.0       2.9
          41.0       2.6
          43.0       2.3
          44.0       5.5
          45.0       1.0
          48.0       1.0
          49.0       5.8
          50.0      37.6
          51.0      47.3
          52.0      37.0
          53.0       7.0
          54.0       2.4
          55.0       1.2
          60.0       1.6
          61.0       6.4
          62.0       9.5
          63.0      19.8
          64.0      13.4
          65.0       5.8
          66.0       1.4
          67.0       2.4
          73.0       4.1
          74.0      15.0
          75.0      12.0
          76.0      29.2
          77.0      76.8
          78.0      39.2
          79.0      36.2
          80.0       4.3
          86.0       1.3
          87.0       1.5
          88.0       1.7
          89.0       2.0
          90.0       3.8
          91.0       6.3
          92.0       1.6
         104.0       6.0
         105.0     100.0
         106.0      10.6
         118.0       1.5
         133.0       2.7
         134.0      89.5
         135.0       7.8
    

400 MHz in DMSO-d6


  • 1H NMR 399.65 MHz
    C7 H6 N2 O 0.041 g : 0.5 ml DMSO-d6
    3-indazolinone
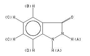
    ChemicalStructure
        Assign.     Shift(ppm)
    A 11. B 7.674 C 7.31 D 6.944

         Hz     ppm     Int.
    

       4445.82  11.125     31
       3071.15   7.685    413
       3063.28   7.665    432
       2933.96   7.342     68
       2933.59   7.341     67
       2922.24   7.312   1000
    

in DMSO-d6



KBr disk



nujol mull