-
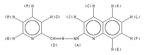
MS-NW-6899 2-pyridinecarbaldehyde 2-quinolylhydrazone C15H12N4 (Mass of molecular ion: 248)
Source Temperature: 200 °C Sample Temperature: 120 °C Direct, 75 eV
18.0 3.3 27.0 1.1 28.0 1.1 38.0 1.0 39.0 3.3 50.0 1.6 51.0 4.5 52.0 2.5 62.0 1.0 63.0 2.7 64.0 2.0 65.0 9.2 75.0 1.9 76.0 1.4 77.0 2.4 78.0 3.1 79.0 2.3 88.0 1.1 89.0 3.8 90.0 2.1 91.0 1.4 92.0 5.5 101.0 2.9 102.0 2.4 105.0 1.4 114.0 1.0 115.0 2.5 116.0 5.7 117.0 5.0 128.0 5.3 129.0 2.9 142.0 1.5 143.0 3.2 144.0 10.6 145.0 1.3 169.0 1.1 170.0 100.0 171.0 13.0 218.0 1.4 219.0 5.1 220.0 1.7 245.0 5.0 246.0 2.6 247.0 1.7 248.0 14.8 249.0 3.0
400 MHz in DMSO-d6
-
1H NMR 399.65 MHz C15 H12 N4 0.039 g : 0.5 ml DMSO-d6 2-pyridinecarbaldehyde 2-quinolylhydrazone 
Assign. Shift(ppm)
A 11.5 B 8.578 C 8.217 D 8.203 E 8.037 F 7.834 G 7.81 J 7.696 K 7.684 L 7.619 M 7.32
Hz ppm Int.4605.90 11.525 320 3431.81 8.588 236 3431.07 8.586 280 3430.34 8.584 281 3429.43 8.582 240 3427.05 8.576 250 3426.13 8.573 288 3425.58 8.572 275 3424.66 8.570 222 3289.49 8.231 401 3280.33 8.209 544 3278.31 8.203 1000 3216.59 8.049 336 3208.53 8.029 410 3139.11 7.855 161 3137.64 7.851 160 3131.60 7.836 283 3129.95 7.832 277 3123.72 7.817 419 3116.39 7.798 313 3080.31 7.708 632 3076.28 7.698 254 3071.34 7.686 621 3068.04 7.677 444 3052.29 7.638 223 3051.00 7.635 215 3045.51 7.621 258 3044.04 7.617 315 3042.58 7.614 142 3037.08 7.600 150 3035.80 7.597 135 2936.71 7.349 210 2935.43 7.346 212 2932.13 7.337 244 2931.03 7.334 267 2928.65 7.329 401 2927.55 7.326 413 2926.45 7.323 278 2924.80 7.319 248 2923.70 7.316 228 2921.87 7.312 213 2920.22 7.307 289 2918.94 7.304 205
更多供应商





