图谱信息 供应商 相关产品
网站主页CAS数据库列表 7397-43-5更多图谱三叔丁基硼酸酯(7397-43-5)红外图谱(IR1)

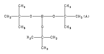
三叔丁基硼酸酯

产品名称 三叔丁基硼酸酯

CAS号7397-43-5

分子式C12H27BO3

分子量230.15

展开



  •     Parameter     ppm  Hz
    D(A) 1.288
    Spectral Code: 1H NMR : parameter in CDCl3


  • Spectral Code: IR : liquid film