图谱信息 供应商 相关产品
网站主页CAS数据库列表 74214-62-3更多图谱Β-咔啉-3-羧酸乙酯(74214-62-3)质谱(MS)

Β-咔啉-3-羧酸乙酯

产品名称 Β-咔啉-3-羧酸乙酯

CAS号74214-62-3

分子式C14H12N2O2

分子量240.26


  • Mass

    MS-NW-9920          
    ethyl beta-carboline-3-carboxylate
    C14H12N2O2          (Mass of molecular ion:    240)
    

       Source Temperature: 230 °C
       Sample Temperature: 150 °C
       Direct, 75 eV
    

          18.0       1.1
          70.0       1.0
          83.5       5.8
          84.0       1.1
         113.0       2.3
         114.0       1.9
         139.0       2.5
         140.0      13.8
         141.0       3.4
         166.0       2.2
         167.0      20.3
         168.0     100.0
         169.0      12.8
         195.0       4.0
         196.0       8.1
         197.0       1.1
         240.0      21.1
         241.0       4.8
    

400 MHz in CDCl3


  • 1H NMR 399.65 MHz
    C14 H12 N2 O2 0.033 g : 0.5 ml CDCl3
    ethyl beta-carboline-3-carboxylate
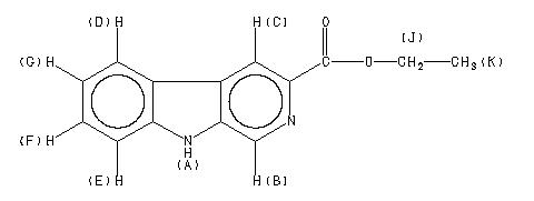
    ChemicalStructure
        Assign.     Shift(ppm)
    A 11.41 B 9.228 C 8.909 D 8.196 E 7.812 F *1 7.590 G *1 7.334 J 4.566 K 1.465

         Hz     ppm     Int.
    

       4560.70  11.412    105
       3688.66   9.230    352
       3687.90   9.228    354
       3560.79   8.910    403
       3279.88   8.207    154
       3271.94   8.188    162
       3126.68   7.824    182
       3118.44   7.803    220
       3041.53   7.611     91
       3040.47   7.608     93
       3034.36   7.593    118
       3033.29   7.590    171
       3032.23   7.588     94
       3026.12   7.572     92
       3025.05   7.570     87
       2938.84   7.354    107
       2937.93   7.352    106
       2930.91   7.334    187
       2923.74   7.316     94
       2922.97   7.314     89
       1835.78   4.594    138
       1828.77   4.576    452
       1821.59   4.558    466
       1814.42   4.541    149
        592.50   1.483    479
        585.48   1.465   1000
        578.31   1.448    478
    

in CDCl3



KBr disc



nujol mull