图谱信息 供应商 相关产品
网站主页CAS数据库列表 74542-69-1更多图谱1,2,4,5-四异丙基硫苯(74542-69-1)质谱(MS)

1,2,4,5-四异丙基硫苯

产品名称 1,2,4,5-四异丙基硫苯

CAS号74542-69-1

分子式C18H30S4

分子量374.69

展开


  • Mass

    MS-IW-4612          
    1,2,4,5-tetrakis(isopropylthio)benzene
    C18H30S4            (Mass of molecular ion:    374)
    

       Source Temperature: 140 °C
       Sample Temperature: 120 °C
       Direct, 75 eV
    

          27.0       3.1
          39.0       1.8
          41.0       7.7
          42.0       1.4
          43.0      15.1
          96.0       1.0
         101.0       1.2
         109.0       1.4
         127.0       1.3
         139.0       1.6
         140.0       2.7
         141.0       3.3
         142.0       1.1
         171.0       3.5
         172.0       7.2
         173.0       4.0
         174.0       2.7
         179.0       1.3
         180.0       2.4
         199.0       1.3
         203.0       1.1
         204.0       3.4
         205.0       6.0
         206.0      12.1
         207.0       2.2
         208.0       2.2
         213.0       1.3
         214.0       1.9
         215.0       1.6
         216.0       1.3
         217.0       1.2
         222.0       2.1
         231.0       1.3
         241.0       1.7
         247.0       3.8
         248.0      11.7
         249.0       2.2
         250.0       2.1
         256.0       2.8
         257.0       1.0
         258.0       1.2
         289.0       3.6
         290.0      12.1
         291.0       2.5
         292.0       2.3
         298.0       1.0
         331.0       5.5
         332.0      15.8
         333.0       4.0
         334.0       3.2
         374.0     100.0
         375.0      23.1
         376.0      20.2
         377.0       4.2
         378.0       1.7
    

400 MHz in CDCl3


  • 1H NMR 399.65 MHz
    C18 H30 S4 0.037 g : 0.5 ml CDCl3
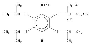
    1,2,4,5-tetrakis(isopropylthio)benzene
    ChemicalStructure
        Assign.     Shift(ppm)
    A 7.299 B 3.452 C 1.332

         Hz     ppm     Int.
    

       2917.24   7.300    215
       1393.31   3.487     32
       1386.72   3.470     81
       1380.00   3.454    111
       1373.41   3.437     84
       1366.70   3.420     35
        536.01   1.342    997
        529.30   1.325   1000
    

in CDCl3