-
MS-NW-7600 triethyl 1,1,2-ethanetricarboxylate C11H18O6 (Mass of molecular ion: 246)
Source Temperature: 250 °C Sample Temperature: 170 °C Reservoir, 75 eV
15.0 2.6 18.0 2.6 19.0 1.2 25.0 1.3 26.0 8.7 27.0 35.0 28.0 9.3 29.0 73.0 30.0 1.8 31.0 9.8 41.0 1.1 42.0 2.3 43.0 6.2 44.0 9.3 45.0 10.4 46.0 1.6 47.0 1.6 53.0 1.8 54.0 2.7 55.0 49.9 56.0 4.5 57.0 1.1 69.0 1.1 71.0 2.3 72.0 4.8 73.0 30.7 74.0 1.9 82.0 1.4 83.0 1.7 99.0 35.2 100.0 40.9 101.0 21.9 102.0 3.2 117.0 8.5 126.0 3.1 127.0 66.4 128.0 55.3 129.0 10.9 130.0 1.3 145.0 25.9 146.0 2.1 154.0 8.0 155.0 19.8 156.0 1.7 172.0 1.9 173.0 100.0 174.0 19.9 175.0 2.4 200.0 9.3 201.0 33.6 202.0 4.2 218.0 1.6 219.0 1.5
90 MHz in CDCl3
-
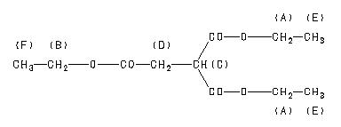
1H NMR 89.56 MHz C11 H18 O6 0.05 ml : 0.5 ml CDCl3 triethyl 1,1,2-ethanetricarboxylate 
Assign. Shift(ppm)
A 4.206 B 4.164 C 3.822 D 2.917 E 1.280 F 1.259
Hz ppm Int.388.50 4.338 110 381.50 4.260 385 375.69 4.195 267 374.38 4.181 475 368.56 4.116 242 367.31 4.102 209 363.44 4.059 32 361.44 4.036 82 350.13 3.910 63 342.44 3.824 115 335.31 3.744 86 264.63 2.955 263 257.19 2.872 212 121.69 1.359 495 119.75 1.338 295 114.63 1.280 1000 112.69 1.259 573 107.44 1.200 465 105.50 1.178 267 101.38 1.132 33
更多供应商





