
2-甲基-1-萘酚
产品名称
2-甲基-1-萘酚
CAS号7469-77-4
分子式C11H10O
分子量158.2
InChIInChI=1S/C11H10O/c1-8-6-7-9-4-2-3-5-10(9)11(8)12/h2-7,12H,1H3
InChIKeySRJCJJKWVSSELL-UHFFFAOYSA-N
SmilesC1(O)=C2C(C=CC=C2)=CC=C1C
展开
收起
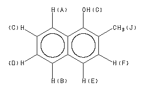
-
Assign. Shift(ppm)
A 8.114
B 7.763
C 7.46
D 7.42
E 7.369
F 7.231
G 5.11
J 2.389
J(E,F)=8.4HZ.
C AND D WERE CONFIRMED BY LAOCN PROGRAM.
Spectral Code: 1H NMR : 400 MHz in CDCl3
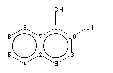
-
ppm Int. Assign.
148.51 373 1
133.40 331 2
128.97 856 3
127.65 788 4
125.36 898 5 *
125.27 1000 6 *
124.30 331 7
120.87 839 8
120.18 847 9
116.37 398 10
15.58 737 11
Spectral Code: 13C NMR : in CDCl3
-
Spectral Code: IR : nujol mull
2-甲基-1-萘酚(7469-77-4)Raman光谱 相关产品图谱