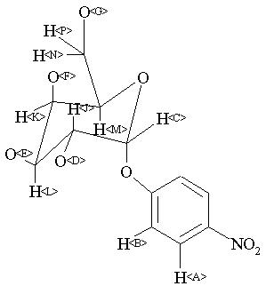
400 MHz in DMSO-d6
-
1H NMR 399.65 MHz C12 H15 N O8 0.035 g : 0.5 ml DMSO-d6 p-nitrophenyl alpha-D-galactopyranoside 
Assign. Shift(ppm)
A 8.221 B 7.288 C 5.665 D 5.08 E 4.86 F 4.67 G 4.56 J 3.84 K 3.82 L 3.80 M 3.642 N *1 3.536 P *1 3.40 H2O peak at 3.44 ppm removed. assigned by H-H COSY. J(C,J)=3.7 Hz J(D,J)=6.1 Hz J(E,L)=5.6 Hz J(F,K)=4.2 Hz J(G,N)=6.2 Hz J(G,P)=5.1 Hz J(J,L)=10.0 Hz J(K,L)=3.1 Hz J(N,P)=-10.9 Hz
Hz ppm Int.3293.95 8.243 89 3290.53 8.234 957 3288.33 8.229 289 3283.45 8.216 277 3281.25 8.211 1000 3277.83 8.202 113 2920.78 7.309 87 2917.36 7.300 912 2915.16 7.295 306 2912.11 7.287 82 2910.28 7.283 267 2907.96 7.277 887 2905.03 7.269 162 2265.75 5.670 410 2262.21 5.661 401 2032.71 5.087 539 2026.49 5.071 537 1943.97 4.865 485 1938.48 4.851 490 1869.26 4.678 375 1865.23 4.668 395 1826.90 4.572 227 1821.66 4.559 354 1820.56 4.556 329 1815.31 4.543 248 1548.95 3.876 96 1545.41 3.867 87 1542.72 3.861 90 1539.18 3.852 224 1535.64 3.843 188 1532.71 3.836 210 1529.30 3.827 325 1527.95 3.824 294 1526.98 3.821 305 1523.68 3.813 490 1518.68 3.801 239 1515.63 3.793 159 1514.40 3.790 121 1511.35 3.782 71 1508.67 3.775 90 1505.62 3.768 70 1462.40 3.660 110 1456.18 3.644 274 1449.95 3.629 167 1426.15 3.569 106 1419.92 3.553 166 1415.28 3.542 163 1413.82 3.538 113 1409.06 3.526 234 1402.83 3.511 119 1401.00 3.506 46 1368.41 3.425 159 1366.21 3.419 244 1365.36 3.417 250 1360.35 3.404 240 1357.54 3.397 56 1355.35 3.392 145 1349.24 3.377 96
更多供应商


