图谱信息 供应商 相关产品
网站主页CAS数据库列表 7498-57-9更多图谱2-萘乙腈(7498-57-9)核磁图(1HNMR)

2-萘乙腈

产品名称 2-萘乙腈

CAS号7498-57-9

分子式C12H9N

分子量167.21

展开

400 MHz in CDCl3


  • 1H NMR 399.65 MHz
    C12 H9 N 0.038 g : 0.5 ml CDCl3
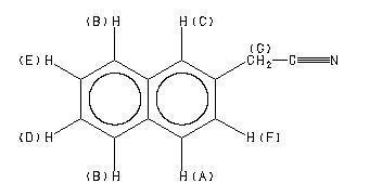
    (2-naphthyl)acetonitrile
    ChemicalStructure
        Assign.     Shift(ppm)
    A 7.81 B 7.80 C 7.767 D *1 7.50 E *1 7.48 F 7.330 G 3.836

         Hz     ppm     Int.
    

       3126.22   7.823    417
       3121.83   7.812    190
       3121.46   7.811    190
       3118.29   7.803    506
       3117.55   7.801    523
       3115.11   7.795    192
       3111.45   7.786    119
       3109.50   7.781    194
       3104.00   7.767    338
       3005.25   7.520     33
       3002.93   7.514     86
       2998.29   7.503    350
       2997.19   7.500    376
       2996.09   7.497    266
       2993.29   7.490    382
       2992.80   7.489    342
       2989.99   7.482    243
       2988.77   7.479    344
       2987.67   7.476    276
       2983.03   7.465     70
       2934.33   7.343    222
       2932.50   7.338    218
       2926.03   7.322    205
       2924.07   7.317    203
       1533.20   3.837   1000
    

KBr disc



nujol mull