图谱信息 供应商 相关产品
网站主页CAS数据库列表 75-98-9更多图谱特戊酸(75-98-9)核磁图(13CNMR)

特戊酸

产品名称 特戊酸

CAS号75-98-9

分子式C5H10O2

分子量102.13

展开


  • Mass

    MS-NW-1453          
    pivalic acid
    C5H10O2             (Mass of molecular ion:    102)
    

       Source Temperature: 240 °C
       Sample Temperature: 170 °C
       Reservoir, 75 eV
    

          15.0       2.0
          27.0       8.1
          28.0       1.3
          29.0      29.3
          31.0       1.8
          38.0       1.2
          39.0      10.0
          40.0       1.4
          41.0      43.7
          42.0       2.5
          43.0       3.0
          45.0       3.9
          55.0       2.6
          56.0       6.1
          57.0     100.0
          58.0       4.5
          59.0       5.7
          69.0       1.3
          87.0       4.8
         102.0       1.8
    

parameter in CDCl3


  • 1H NMR 300 MHz
    C5 H10 O2 0.048 g : 0.5 ml CDCl3
    pivalic acid
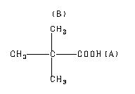
    ChemicalStructure
        Parameter     ppm  Hz
    D(A) 11.49 D(B) 1.233

         Hz     ppm     Int.
    

        369.92   1.233   1000
    

in CDCl3



CCl4 solution



liquid film



4880 A,200 M,