-
ppm Int. Assign.
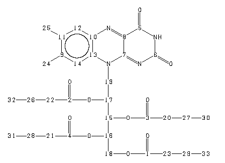
173.23 403 1 * 172.94 319 2 * 172.45 131 3 * 172.32 64 4 * 159.43 305 5 154.65 236 6 150.67 73 7 148.10 52 8 136.97 214 9 136.02 131 10 134.60 287 11 132.86 119 12 131.26 71 13 116.67 122 14 70.25 116 15 69.05 48 16 68.88 169 17 61.76 119 18 44.82 87 19 35.95 460 20 # 21 # 35.83 38 22 # 35.43 295 23 # 21.39 326 24 19.46 337 25 18.40 402 26 *1 18.25 616 27 *1 28 *1 17.65 401 29 *1 13.61 1000 30 #1 31 #1 13.56 511 32 #1 13.26 474 33 #1Spectral Code: 13C NMR : in CDCl3
更多供应商



