图谱信息 供应商 相关产品
网站主页CAS数据库列表 75230-41-0更多图谱4'-(2-乙酰氧基乙氧基)苯乙酮(75230-41-0)红外图谱(IR2)

4'-(2-乙酰氧基乙氧基)苯乙酮

产品名称 4'-(2-乙酰氧基乙氧基)苯乙酮

CAS号75230-41-0

分子式C12H14O4

分子量222.24

展开


  • Mass

    MS-NW-2375          
    4'-(2-acetoxyethoxy)acetophenone
    C12H14O4            (Mass of molecular ion:    222)
    

       Source Temperature: 180 °C
       Sample Temperature: 120 °C
       Direct, 75 eV
    

          15.0       2.0
          39.0       1.0
          43.0      54.8
          44.0       1.3
          50.0       1.1
          63.0       1.1
          65.0       1.8
          76.0       1.4
          77.0       1.7
          87.0     100.0
          88.0       4.4
          91.0       1.6
          93.0       1.4
         121.0       7.6
         147.0       2.7
         222.0       3.0
    

400 MHz in CDCl3

90 MHz in CDCl3


  • 1H NMR 399.65 MHz
    C12 H14 O4 0.44 g : 0.5 ml CDCl3
    4'-(2-acetoxyethoxy)acetophenone
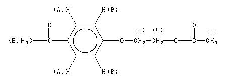
    ChemicalStructure
        Assign.     Shift(ppm)
    A 7.939 B 6.953 C 4.447 D 4.242 E 2.555 F 2.104

         Hz     ppm     Int.
    

       3177.73   7.952    209
       3175.54   7.946     67
       3170.78   7.934     63
       3168.70   7.929    225
       2783.08   6.964    201
       2780.88   6.959     62
       2776.12   6.947     58
       2774.05   6.942    193
       1782.35   4.460    103
       1779.91   4.454     38
       1777.71   4.449    120
       1776.49   4.446     73
       1775.02   4.442     40
       1772.83   4.436    126
       1699.58   4.253    140
       1697.39   4.248     41
       1695.92   4.244     70
       1694.70   4.241    121
       1692.50   4.235     39
       1690.06   4.229    101
       1024.17   2.563     31
       1021.48   2.556   1000
        840.94   2.105    927
    


  • 1H NMR 89.56 MHz
    C12 H14 O4 0.047 g : 0.5 ml CDCl3
    4'-(2-acetoxyethoxy)acetophenone
    ChemicalStructure
        Assign.     Shift(ppm)
    A 7.93 B 6.95 C 4.44 D 4.25 E 2.553 F 2.101

         Hz     ppm     Int.
    

        715.31   7.987    169
        713.19   7.964     57
        708.50   7.911     66
        706.25   7.886    205
        703.44   7.855     31
        626.56   6.996    191
        624.44   6.973     59
        619.69   6.920     57
        617.56   6.896    154
        403.94   4.511     39
        402.63   4.496     43
        399.13   4.457     78
        398.56   4.451     74
        397.13   4.435     70
        395.63   4.418     58
        394.25   4.403    114
        393.56   4.395    109
        384.06   4.289    115
        383.31   4.280    112
        381.94   4.265     54
        380.50   4.249     73
        379.06   4.233     80
        378.50   4.227     81
        374.88   4.186     49
        373.69   4.173     43
        228.56   2.553   1000
        225.63   2.520     43
        224.44   2.507     30
        188.06   2.100    916
    

in CDCl3



CCl4 solution



KBr disc



nujol mull



4880 A,200 M,powder