图谱信息 供应商 相关产品
网站主页CAS数据库列表 7524-52-9更多图谱L-色氨酸甲酯盐酸盐(7524-52-9)红外图谱(IR1)

L-色氨酸甲酯盐酸盐

产品名称 L-色氨酸甲酯盐酸盐

CAS号7524-52-9

分子式C12H15ClN2O2

分子量254.71

展开


  • Mass

    MS-IW-9104          
    L-tryptophan methyl ester hydrochloride
    C12H14N2O2 HCl      (Mass of molecular ion:    218)
    

       Source Temperature: 170 °C
       Sample Temperature: 140 °C
       Direct, 75 eV
    

          28.0       2.4
          35.0       1.0
          36.0       9.4
          38.0       3.1
          51.0       1.2
          77.0       5.3
          79.0       1.9
          79.5       3.2
          88.0       1.1
          89.0       1.2
         102.0       1.9
         103.0       4.8
         117.0       2.3
         128.0       1.4
         129.0       2.4
         130.0     100.0
         131.0      11.4
         132.0       2.3
         158.0       1.4
         159.0       4.2
         218.0       6.6
    

400 MHz in DMSO-d6


  • 1H NMR 399.65 MHz
    C12 H14 N2 O2 0.042 g : 0.5 ml DMSO-d6
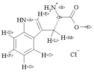
    L-tryptophan methyl ester hydrochloride
    ChemicalStructure
        Assign.     Shift(ppm)
    A 11.2 B 8.81 C 7.538 D 7.393 E 7.283 F 7.090 G 7.010 J 4.188 K 3.625 L *1 3.392 M *1 3.327

         Hz     ppm     Int.
    

       4493.07  11.243     99
       3522.84   8.815    174
       3016.94   7.549    103
       3009.06   7.530    112
       2959.05   7.405    124
       2951.00   7.384    144
       2911.98   7.287    155
       2909.60   7.281    157
       2842.19   7.112     51
       2841.10   7.109     57
       2835.05   7.094     88
       2834.14   7.092    112
       2827.17   7.075     72
       2826.08   7.072     71
       2808.68   7.028     78
       2807.76   7.026     84
       2800.80   7.009    119
       2799.88   7.006     98
       2793.84   6.991     55
       2792.74   6.988     54
       1680.55   4.206     55
       1673.78   4.189     91
       1668.28   4.175     58
       1448.85   3.626   1000
       1368.44   3.425     32
       1363.13   3.411     34
       1353.78   3.388     76
       1348.47   3.375     69
       1337.85   3.348     73
       1330.89   3.331     72
       1323.01   3.311     34
       1316.05   3.294     30
    

in DMSO-d6



KBr disc



nujol mull