400 MHz in CDCl3
-
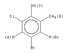
1H NMR 399.65 MHz C7 H6 Br Cl O 0.044 g : 0.5 ml CDCl3 4-bromo-6-chloro-o-cresol 
Assign. Shift(ppm)
A 7.292 B 7.159 C 5.56 D 2.250 J(A,B)=2.4HZ J(A,D)=-0.6HZ J(B,D)=-0.8HZ
Hz ppm Int.2915.77 7.296 166 2915.16 7.295 177 2913.33 7.290 184 2912.84 7.289 194 2862.92 7.164 150 2862.06 7.162 161 2861.33 7.160 122 2860.47 7.158 152 2859.74 7.156 152 2223.88 5.565 99 899.78 2.252 669 899.17 2.250 1000 898.44 2.249 724
更多供应商




