图谱信息 供应商 相关产品
网站主页CAS数据库列表 7536-58-5更多图谱Boc-L-天冬氨酸 4-苄酯(7536-58-5)红外图谱(IR1)

Boc-L-天冬氨酸 4-苄酯

产品名称 Boc-L-天冬氨酸 4-苄酯

CAS号7536-58-5

分子式C16H21NO6

分子量323.34

展开


  • Mass

    MS2015-05141CW      
    N-tert-butoxycarbonyl-L-aspartic acid beta-benzyl ester
    C16H21NO6           (Mass of molecular ion:    323)
    

       Source Temperature: 250 °C
       Sample Temperature:  20 °C
       Direct, 70 eV
    

          27.0       1.1
          28.0       1.4
          29.0       2.7
          39.0       2.8
          41.0       7.8
          42.0       1.0
          43.0       3.9
          44.0       2.7
          51.0       1.4
          55.0       1.0
          56.0       2.5
          57.0      41.8
          58.0       1.9
          59.0       5.0
          65.0       5.1
          70.0       2.6
          74.0       1.4
          77.0       2.7
          79.0       3.3
          87.0       1.3
          88.0       4.3
          89.0       6.5
          90.0       4.0
          91.0     100.0
          92.0       8.6
         105.0       1.2
         107.0      13.3
         108.0      21.7
         109.0       1.7
         114.0       1.6
         132.0      11.2
         133.0       2.6
         160.0       3.3
         162.0       3.0
         178.0      30.4
         179.0       3.5
         222.0       9.4
         223.0       6.3
         224.0       1.6
         267.0      10.8
         268.0       1.9
         278.0       1.9
    

in DMSO-d6

400 MHz in CDCl3




  • 1H NMR 399.65 MHz
    C16 H21 N O6 0.038 g : 0.5 ml CDCl3
    N-tert-butoxycarbonyl-L-aspartic acid beta-benzyl ester
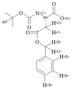
    ChemicalStructure
        Assign.     Shift(ppm)
    A 10.3 B 7.34 C 5.564 D *1 5.147 E *1 5.129 F 4.640 G *2 3.079 J *2 2.904 K 1.441

         Hz     ppm     Int.
    

       2941.89   7.362     35
       2940.22   7.357     53
       2938.69   7.354     46
       2934.88   7.344    207
       2932.43   7.338    264
       2928.16   7.327     56
       2925.42   7.320     45
       2924.96   7.319     44
       2055.36   5.143    105
       2051.54   5.134    137
       2039.18   5.103     21
       1168.67   2.925     34
       1163.79   2.913     35
        576.17   1.442   1000
    

in CDCl3

in DMSO-d6





KBr disc



nujol mull



4880 A,200 M,powder