图谱信息 供应商 相关产品
网站主页CAS数据库列表 75568-11-5更多图谱3,5-二溴邻苯二胺单盐酸盐(75568-11-5)质谱(MS)

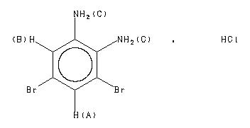
3,5-二溴邻苯二胺单盐酸盐

产品名称 3,5-二溴邻苯二胺单盐酸盐

CAS号75568-11-5

分子式C6H7Br2ClN2

分子量302.39


  • Mass

    MS-NW-9953          
    3,5-dibromo-o-phenylenediamine monohydrochloride
    C6H6Br2N2 HCl       (Mass of molecular ion:    264)
    

       Source Temperature: 140 °C
       Sample Temperature:  90 °C
       Direct, 75 eV
    

          17.0       2.7
          18.0      14.8
          28.0       4.7
          35.0       1.9
          36.0      25.1
          37.0       1.2
          38.0       8.4
          50.0       3.2
          51.0       5.7
          52.0       9.4
          52.5       2.8
          53.0       9.1
          54.0       1.3
          61.0       1.0
          62.0       1.9
          63.0       1.0
          65.0       1.3
          75.0       1.2
          76.0       4.6
          77.0       2.3
          78.0      10.3
          79.0       4.8
          80.0       1.6
          82.0       1.4
          89.0       1.8
          92.0       1.5
          92.5       1.2
          93.0       1.7
          93.5       1.2
         103.0       1.0
         105.0      10.5
         106.0      13.0
         107.0       1.0
         132.0       2.4
         133.0       4.4
         134.0       2.0
         156.0       1.1
         157.0       1.2
         158.0       6.7
         159.0       1.5
         160.0       5.6
         168.0       2.4
         170.0       2.4
         183.0       1.0
         184.0       2.4
         185.0      10.9
         186.0       3.5
         187.0       9.7
         188.0       1.1
         236.0       1.8
         238.0       3.5
         240.0       1.7
         263.0       1.9
         264.0      51.2
         265.0       7.4
         266.0     100.0
         267.0       9.2
         268.0      48.7
         269.0       3.6
    

parameter in DMSO-d6


  • 1H NMR 300 MHz
    C6 H6 Br2 N2 0.032 g : 0.5 ml DMSO-d6
    3,5-dibromo-o-phenylenediamine monohydrochloride
    ChemicalStructure
        Parameter     ppm  Hz
    D(A) 7.494 D(B) 7.352 J(A,B) 2.2 D(C) 6.2

         Hz     ppm     Int.
    

       2249.33   7.498    911
       2247.14   7.490   1000
       2206.67   7.356   1000
       2204.48   7.348    911
       1859.98   6.200     73
    

KBr disc



nujol mull