图谱信息 供应商 相关产品
网站主页CAS数据库列表 7597-18-4更多图谱6-硝基吲唑(7597-18-4)Raman光谱

6-硝基吲唑

产品名称 6-硝基吲唑

CAS号7597-18-4

分子式C7H5N3O2

分子量163.13

展开



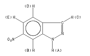
  •     Assign.     Shift(ppm)
    A 13.8 B 8.474 C 8.356 D 8.030 E 7.954
    Spectral Code: 1H NMR : 400 MHz in DMSO-d6



  •        ppm   Int.  Assign.
    145.82 457 1 138.50 291 2 134.22 437 3 126.04 444 4 121.79 881 5 114.70 1000 6 106.90 536 7
    Spectral Code: 13C NMR : in DMSO-d6


  • Spectral Code: IR : KBr disc