图谱信息 供应商 相关产品
网站主页CAS数据库列表 76-25-5更多图谱曲安奈德(76-25-5)核磁图(1HNMR)

曲安奈德

产品名称 曲安奈德

CAS号76-25-5

分子式C24H31FO6

分子量434.5

展开


  • Mass

    MS-IW-6359          
    triamcinolone acetonide
    C24H31FO6           (Mass of molecular ion:    434)
    

       Source Temperature: 190 °C
       Sample Temperature: 240 °C
       Direct, 75 eV
    

          17.0       1.6
          18.0       8.0
          27.0       1.8
          28.0      17.7
          29.0       1.8
          31.0       4.3
          39.0       2.0
          41.0       7.0
          43.0      14.5
          53.0       3.1
          55.0      14.7
          57.0       1.3
          58.0       2.5
          59.0      10.0
          65.0       2.1
          67.0       3.0
          69.0       3.4
          71.0       1.6
          73.0       1.0
          77.0       6.3
          78.0       1.4
          79.0       4.9
          80.0       1.1
          81.0       5.7
          83.0       1.7
          85.0       1.1
          87.0       1.0
          91.0      10.4
          92.0       2.3
          93.0       5.2
          94.0       1.0
          95.0       4.6
          96.0       1.3
          97.0       2.7
          99.0       1.8
         101.0       1.1
         103.0       2.0
         105.0       4.5
         106.0       1.3
         107.0       5.4
         108.0       2.1
         109.0       8.4
         110.0       1.4
         111.0       2.7
         113.0       1.8
         115.0       4.4
         116.0       1.7
         117.0       2.9
         119.0       3.2
         120.0       2.1
         121.0      54.1
         122.0      24.2
         123.0       5.8
         125.0       1.7
         127.0       3.1
         128.0       2.2
         129.0       4.5
         130.0       1.1
         131.0       4.2
         132.0       1.4
         133.0       5.9
         134.0       3.8
         135.0      15.6
         136.0       2.8
         137.0       3.8
         139.0       2.4
         141.0       3.7
         142.0       1.1
         143.0       2.8
         144.0       1.4
         145.0       6.4
         146.0       3.2
         147.0      25.1
         148.0       3.7
         149.0       3.2
         150.0       1.8
         151.0       2.3
         152.0       2.0
         153.0       3.0
         154.0       1.3
         155.0       1.7
         157.0       2.6
         158.0       4.2
         159.0      13.8
         160.0       9.1
         161.0       7.4
         162.0       1.3
         163.0       2.7
         165.0       3.3
         166.0       1.4
         167.0       3.8
         168.0       1.6
         169.0       1.9
         171.0       6.3
         172.0       1.8
         173.0       5.3
         173.5       1.1
         174.0       1.4
         175.0       2.9
         177.0       2.1
         178.0       1.6
         179.0       3.5
         180.0       1.0
         181.0       1.8
         183.0       2.6
         184.0       1.6
         185.0       5.0
         186.0       2.5
         187.0       5.0
         188.0       1.3
         189.0       2.8
         191.0       5.1
         192.0       1.2
         193.0       1.2
         195.0       2.5
         196.0       1.8
         197.0       3.3
         198.0       1.8
         199.0       4.3
         200.0       1.4
         201.0       1.4
         203.0       1.2
         205.0       1.3
         207.0       1.6
         208.0       1.9
         209.0       5.4
         210.0       2.1
         211.0       5.1
         212.0       2.1
         213.0       4.3
         214.0       1.4
         215.0       1.2
         217.0       1.3
         219.0       1.6
         221.0       3.3
         222.0       2.8
         223.0       5.7
         224.0       5.2
         225.0       6.4
         226.0       5.9
         227.0       5.6
         228.0       1.5
         229.0       1.4
         231.0       1.3
         233.0       1.5
         235.0       4.7
         236.0       2.7
         237.0      11.4
         238.0       3.6
         239.0       3.9
         240.0       1.6
         241.0       3.7
         242.0       3.2
         243.0       1.9
         244.0       1.2
         245.0       1.4
         247.0       1.0
         248.0       1.2
         249.0       2.4
         250.0       1.2
         251.0       9.3
         252.0       2.5
         253.0       4.3
         254.0       1.6
         255.0       5.0
         256.0       1.6
         257.0       2.8
         259.0       3.4
         261.0       5.0
         262.0       2.8
         263.0       6.9
         264.0       2.1
         265.0       1.3
         267.0       1.7
         268.0       1.2
         269.0       3.6
         271.0       1.8
         275.0       1.4
         276.0       1.1
         277.0       1.7
         279.0      11.1
         280.0       2.9
         281.0       3.8
         282.0       1.1
         283.0       1.0
         297.0       4.1
         298.0       1.2
         299.0       5.8
         300.0       1.5
         309.0       3.1
         310.0       1.2
         315.0       1.0
         317.0      14.7
         318.0       3.4
         320.0       1.2
         327.0       1.0
         329.0       7.8
         330.0       1.8
         338.0       2.6
         339.0       1.0
         340.0       1.0
         355.0       2.3
         356.0       2.1
         357.0       1.2
         358.0       1.1
         375.0     100.0
         376.0      26.9
         377.0       4.4
         414.0       3.1
         434.0       3.1
         435.0       1.1
    

400 MHz in DMSO-d6


  • 1H NMR 399.65 MHz
    C24 H31 F O6 0.036 g : 0.5 ml DMSO-d6
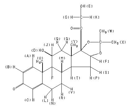
    triamcinolone acetonide
    ChemicalStructure
        Assign.     Shift(ppm)
    A 7.286 B 6.236 C 6.022 D 5.40 E 5.14 F 4.909 G *1 4.531 J 4.187 K *1 4.074 L *2 2.633 M 2.45 N *2 2.340 P *3 2.004 Q 1.92 R *4 1.82 S *3 1.626 T 1.53 U 1.488 V *4 1.37 W *5 1.322 X *5 1.074 Y 0.794 ASSIGNED BY C-H COSY. THE SIGNAL M OVERLAPPED BY THE SOLVENT SIGNAL.

         Hz     ppm     Int.
    

       2917.36   7.300    201
       2907.23   7.275    214
       2498.54   6.252    157
       2496.70   6.248    161
       2488.40   6.227    156
       2486.57   6.222    165
       2406.62   6.022    221
       2160.64   5.407    101
       2158.94   5.403    118
       2156.49   5.396    119
       2154.79   5.392    106
       2059.20   5.153     97
       2053.10   5.138    205
       2046.88   5.122    110
       1963.99   4.915    161
       1959.84   4.904    137
       1824.71   4.566     79
       1818.12   4.550     94
       1805.42   4.518    105
       1798.95   4.502    104
       1640.50   4.105     85
       1634.52   4.090     98
       1621.22   4.057     81
       1615.36   4.042     80
       1053.83   2.637     44
       1048.71   2.625     45
       1048.34   2.624     45
        942.14   2.358     49
        941.89   2.357     49
        938.48   2.349     55
        928.22   2.323     45
        924.56   2.314     42
        808.96   2.025     53
        808.72   2.024     53
        798.22   1.998     43
        795.17   1.990     65
        769.17   1.925     49
        761.60   1.906     60
        725.71   1.816     43
        719.48   1.801     47
        655.76   1.641     80
        642.94   1.609     72
        624.27   1.563     51
        619.75   1.551     54
        615.11   1.540    110
        608.52   1.523    125
        602.42   1.508     48
        594.97   1.489   1000
        544.68   1.363     42
        536.62   1.343     45
        528.56   1.323    867
        429.32   1.075    720
        423.71   1.061     52
        317.38   0.795    726
    

in DMSO-d6



KBr disc



nujol mull