产品名称 3-溴-1,7,7-三甲基二环[2.2.1]庚烷-2-酮
CAS号76-29-9
分子式C10H15BrO
分子量231.13
InChIInChI=1S/C10H15BrO/c1-9(2)6-4-5-10(9,3)8(12)7(6)11/h6-7H,4-5H2,1-3H3
InChIKeyNJQADTYRAYFBJN-UHFFFAOYSA-N
SmilesC12(C)C(C)(C)C(CC1)C(Br)C2=O
展开 收起
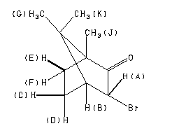
Assign. Shift(ppm) A 4.625 B 2.306 C 2.084 D 1.885 E 1.695 F 1.431 G 1.085 J 0.974 K 0.937 J(A,B)=4.9HZ J(B,C)=3.9HZ J(C,D)=-13.3HZ J(C,E)=3.9HZ J(C,F)=9.4HZ J(E,F)=-13.8HZ ASSIGNED BY C-H AND H-H COSY.
更多供应商
3-溴-1,7,7-三甲基二环[2.2.1]庚烷-2-酮(76-29-9)核磁图(13CNMR) 相关产品图谱