图谱信息 供应商 相关产品
网站主页CAS数据库列表 76-49-3更多图谱乙酸龙脑酯(76-49-3)核磁图(13CNMR)

乙酸龙脑酯

产品名称 乙酸龙脑酯

CAS号76-49-3

分子式C12H20O2

分子量196.29

展开



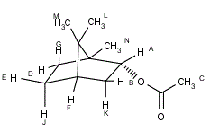
  •     Assign.     Shift(ppm)
    A 4.884 B 2.350 C 2.057 D 1.940 E 1.744 F 1.671 G 1.29 J 1.23 K 0.969 L* 0.906 M* 0.874 N 0.830 Assigned with HMQC and HMBC.
    Spectral Code: 1H NMR : in CDCl3




  • Spectral Code: IR : liquid film


  • Spectral Code: Raman : 4880 A,200 M,liquid